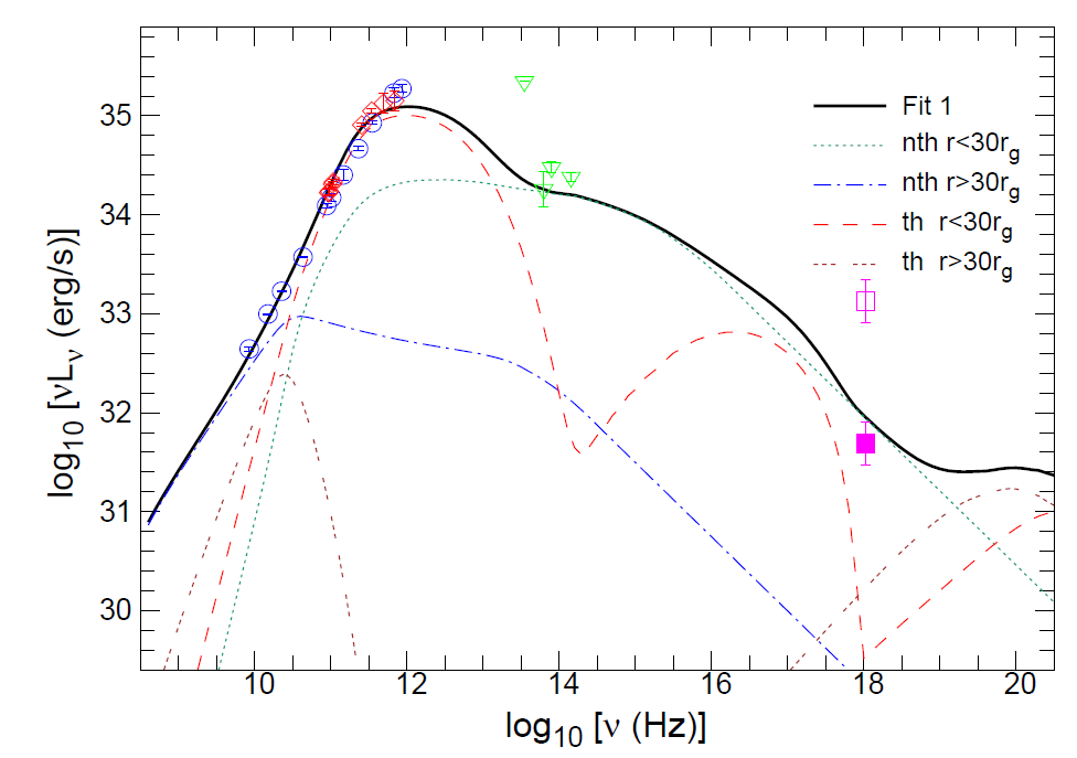
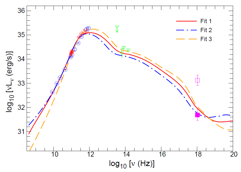
Sgr A* represents a unique laboratory for the detailed study of accretion processes around a low-luminosity supermassive black hole (SMBH). Recent X-ray observations have allowed for spatially resolved modeling of the emission from the accretion flow around the SMBH, placing tight constraints on the flux and spectral shape of the accretion from the inner region with $r<10^3~r_g$, where $r_g$ is the gravitational radius of the black hole. We present here the first modeling of the multi-band spectral energy distribution (SED) of this inner region to better constrain the physical condition of the innermost accretion flow. Our modeling uses the Markov chain Monte Carlo (MCMC) method to fit the SED, accounting for the limitations on the accretion rate at the outer radius of $10^3~r_g$ from the earlier works and the domination of the accretion flow within $30~r_g$ to the sub-mm bump. It is found that the fitting results of the outflow index could be very different. If only the most luminous part of the SED, the sub-mm bump, is considered, the outflow index is about 0, while if low-frequency radio data and X-ray data are also included, the outflow index could be 0.37 or even higher. The great difference of the fitting results indicates that the outflow index should be variable along radius, with a strong outflow in the outer region and a weak outflow in the innermost region. Such weak outflow agrees with numerical simulations and is possible to explain the multi-band SED even better.
Authors:Ren-Yi Ma, Shawn R. Roberts, Ya-Ping Li, Q. Daniel Wang
Accepted for publication in MNRAS:
https://arxiv.org/abs/1811.02190

