
Authors: Hui-Jun Mu, Wei-Min Gu, Jirong Mao, Tong Liu, Shu-Jin Hou, Da-Bin Lin, Junfeng Wang, Taotao Fang, En-Wei Liang
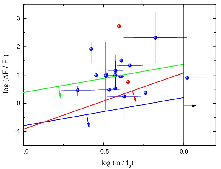
Abstract: The occurrence rates of bright X-ray flares in z < 1 gamma-ray bursts (GRBs) with or without observed supernovae (SNe) association were compared. Our Sample I: the z < 1 long GRBs (LGRBs) with SNe association (SN-GRBs) and with early Swift/X- Ray Telescope (XRT) observations, consists of 18 GRBs, among which only two GRBs have bright X-ray flares. Our Sample II: for comparison, all the z < 1 LGRBs without observed SNe association and with early Swift/XRT observations, consists of 45 GRBs, among which 16 GRBs present bright X-ray flares. Thus, the study indicates a lower occurrence rate of bright X-ray flares in Sample I (11.1%) than in Sample II (35.6%). In addition, if dim X-ray fluctuations are included as flares, then 16.7% of Sample I and 55.6% of Sample II are found to have flares, again showing the discrepancy between these two samples. We examined the physical origin of these bright X-ray flares and found that most of them are probably related to the central engine reactivity. To understand the discrepancy, we propose that such a lower occurrence rate of flares in the SN-GRB sample may hint at an energy partition among the GRB, SNe, and X-ray flares under a saturated energy budget of massive star explosion.
Link