





Authors: Enping Zhou, Xia Zhou, Ang Li
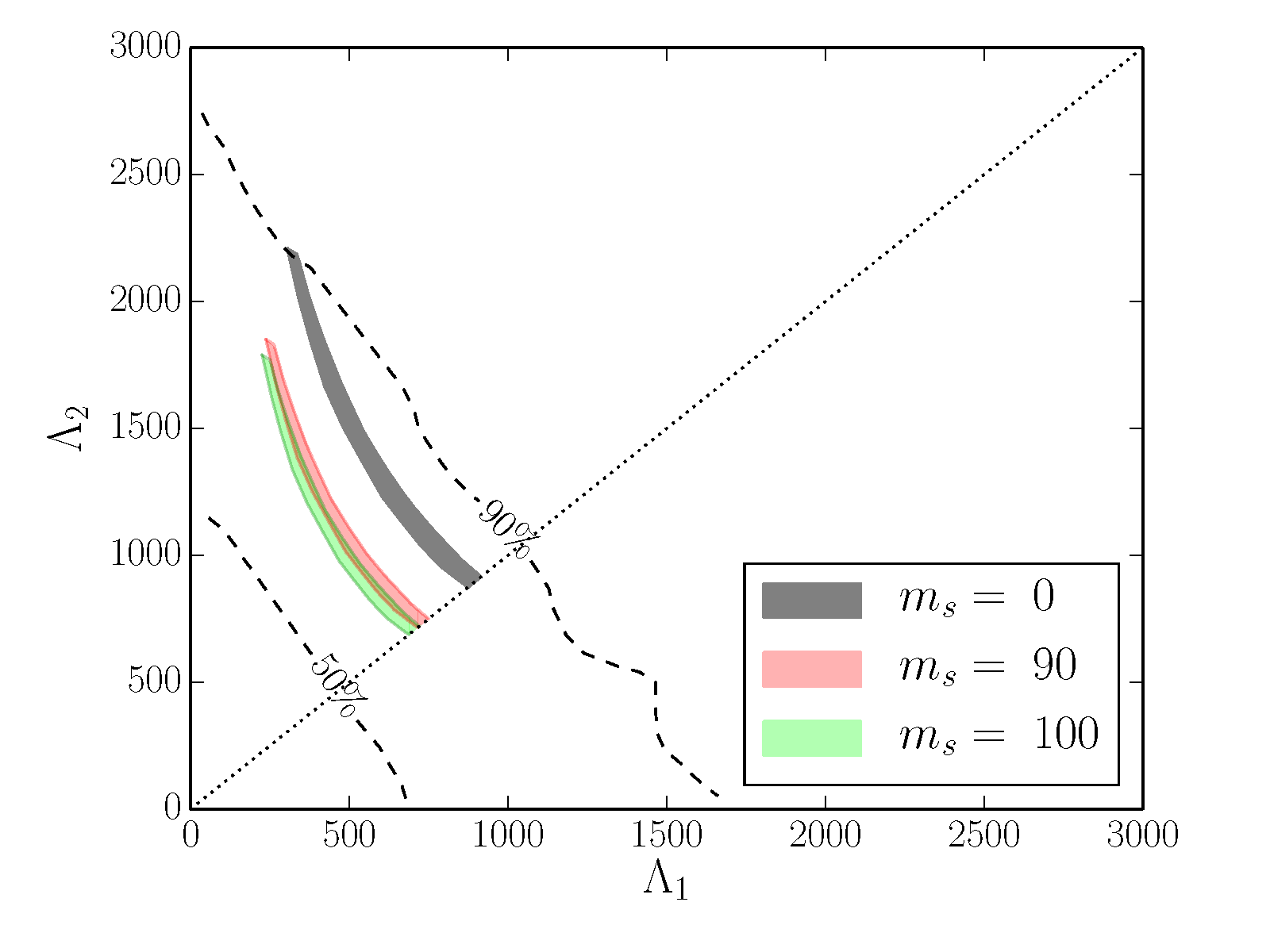
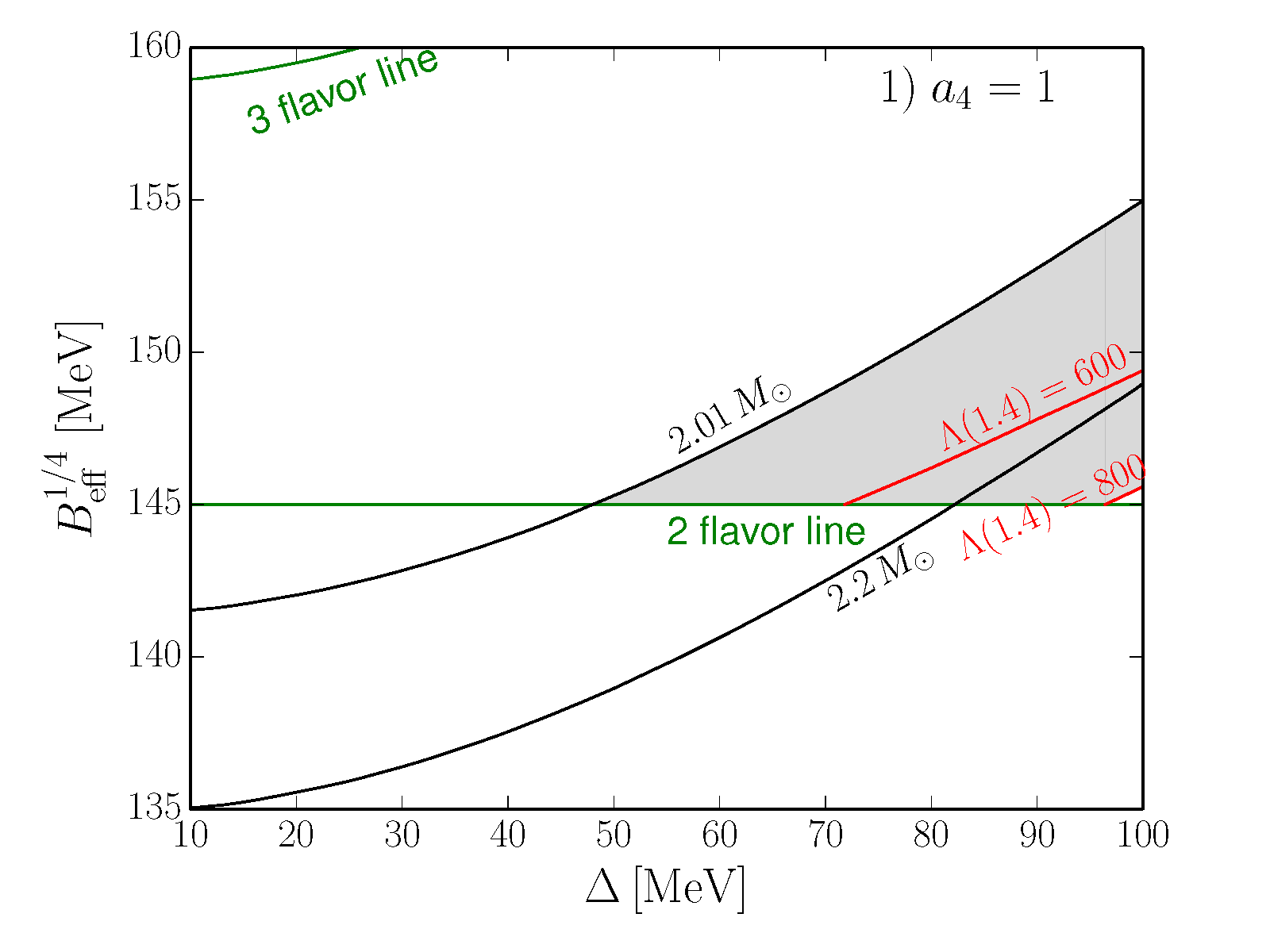
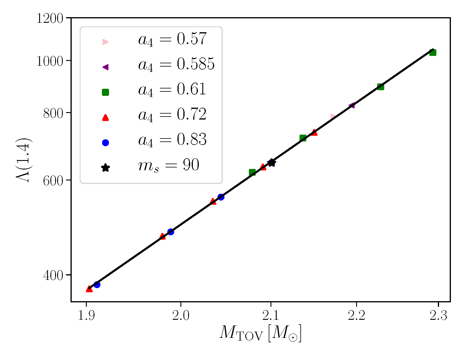
The LIGO/VIRGO detection of the gravitational waves from a binary merger system, GW170817, has put a clean and strong constraint on the tidal deformability of the merging objects. From this constraint, deep insights can be obtained in compact star equation of states, which has been one of the most puzzling problems for nuclear physicists and astrophysicists. Employing one of the most widely-used quark star EOS model, we characterize the star properties by the strange quark mass ($m_s$), an effective bag constant ($B_{\rm eff}$), the perturbative QCD correction ($a_4$), as well as the gap parameter ($\Delta$) when considering quark pairing, and investigate the dependences of the tidal deformablity on them. We find that the tidal deformability is dominated by $B_{\rm eff}$, and insensitive to $m_s$, $a_4$. We discuss the correlation between the tidal deformability and the maximum mass ($M_\mathrm{TOV}$) of a static quark star, which allows the model possibility to rule out the existence of quark stars with future gravitational wave observations and mass measurements. The current tidal deformability measurement implies $M_\mathrm{TOV} \le2.18\,M_\odot$ ($2.32\,M_\odot$ when pairing is considered) for quark stars. Combining with two-solar-mass pulsar observations, we also make constraints on the poorly known gap parameter $\Delta$ for color-flavor-locked quark matter.
The paper has been accepted for publication in Phys. Rev. D 1711.04312