



Authors: Zhen-Yu Zhu and Ang Li
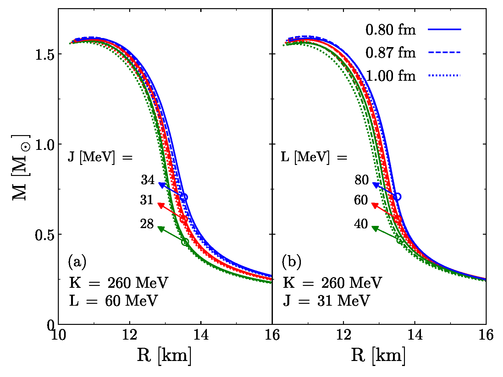
Abstract: We study the effects of free space nucleon radius on nuclear matter and neutron stars within the framework of quark mean field model. The nucleon radius is treated self-consistently with this model, where quark confinement is adjusted to fit different values of nucleon radius. Corrections due to center-of-mass motion, quark-pion coupling, and one gluon exchange are included to obtain the nucleon mass in vacuum. The meson coupling constants that describe the behavior of many-body nucleonic system are newly-constructed by reproducing the empirical saturation properties of nuclear matter, including the recent determinations of symmetry energy parameters. Our results show that the nucleon radius in free space have negligible effects on nuclear matter equation of state and neutron star mass-radius relations, which is different from the conclusion drawn in previous studies. We further explore that the sensitivity of star radius on the nucleon radius found in earlier publications is actually from the symmetry energy and its slope.
The paper has been accepted for publication in Phys. Rev. C 1802.07441