
Figure. Comparison of the theoretical results of the BZ mechanism with the observations
Author: Hui-Jun Mu, Wei-Min Gu, Shu-Jin Hou, Tong Liu, Da-Bin Lin, Tuan Yi, En-Wei Liang, and Ju-Fu Lu
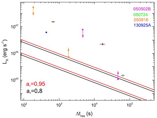
This work focuses on a sample of seven extremely late-time X-ray flares with peak time tp > 104 s , among which two flares can be confirmed as the late-time activity of central engine. The main purpose is to investigate the mechanism of such late-time flares based on the internal origin assumption. In the hyper-accreting black hole (BH) scenario, we study the possibility of two well-known mechanisms acting as the central engine to power such X-ray flares, i.e., the neutrino–antineutrino annihilation and the Blandford–Znajek (BZ) process. Our results show that the annihilation luminosity is far below the observational data. Thus, the annihilation mechanism cannot account for such late-time flares. For the BZ process, if the role of outflows is taken into consideration, the inflow mass rate near the horizon will be quite low such that the magnetic field will probably be too weak to power the observed X-ray flares. We therefore argue that, for the late-time flares with internal origin, the central engine is unlikely to be associated with BHs. On the contrary, a fast rotating neutron star with strong bipolar magnetic fields may be responsible for such flares.