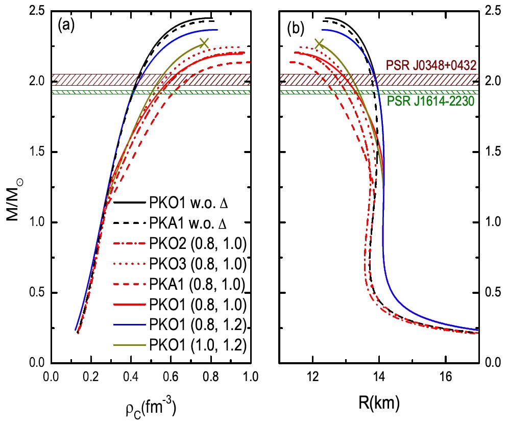
Recently, a team of astronomers from Xiamen University, led by associate Professor Ang Li, has extended the density-dependent relativistic Hartree-Fock (DDRHF) theory to include Delta-isobars for the study of dense nuclear matter and neutron stars. To this end, they solve the Rarita-Schwinger equation for spin-3/2 particle. Both the direct and exchange terms of the Delta-isobars' self-energies are evaluated in details. In comparison with the relativistic mean field theory (Hartree approximation), a weaker parameter dependence is found for DDRHF. An early appearance of Delta-isobars is recognized at around 0.28fm^{-3}, comparable with that of hyperons. Also, they find that the Delta-isobars' softening of the equation of state is mainly due to the reduced Fock contributions from the coupling of the isoscalar mesons, while the pion contributions are negligibly small. They finally conclude that with typical parameter sets, neutron stars with Delta-isobars in their interiors could be as heavy as the two massive pulsars whose masses are precisely measured, with slightly smaller radii than normal neutron stars. This work has been accepted for publication on Physical Review C.
For details:
Δ(1232) effects in density-dependent relativistic Hartree-Fock theory and neutron stars
Zhen-Yu Zhu, Ang Li*, Jin-Niu Hu, Hiroyuki Sagawa
arxiv.org/abs/1607.04007

(Figure)
Gravitational mass of neutron star as a function of star radius (left) and central density (right) under different model parameters.