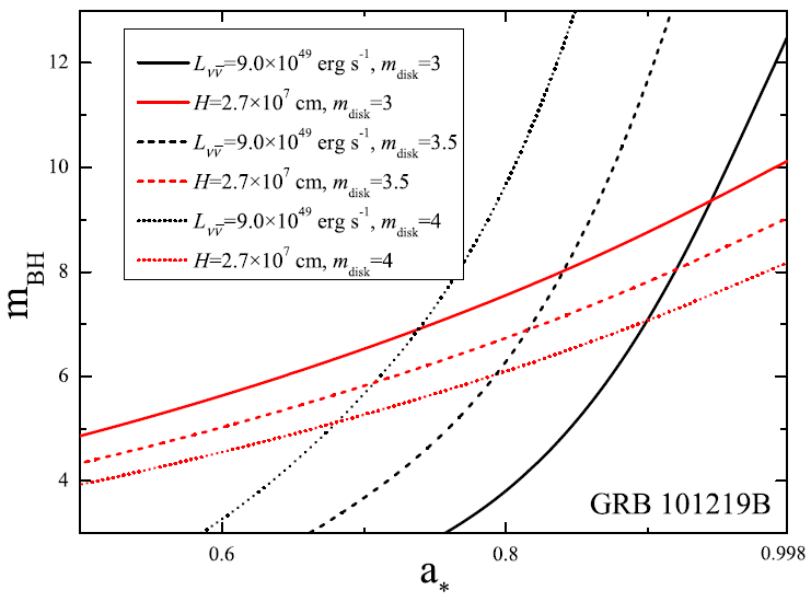
Black holes (BHs) hide themselves behind various astronomical phenomena and their properties, i.e., mass and spin, are usually difficult to constrain. One leading candidate for the central engine model of gamma-ray bursts (GRBs) invokes a stellar mass BH and a neutrino-dominated accretion flow (NDAF), with the relativistic jet launched due to neutrino-anti-neutrino annihilations. Such a model gives rise to a matter-dominated fireball, and is suitable to interpret GRBs with a dominant thermal component with a photospheric origin. A team of astronomers from Xiamen University, led by associate Professor Tong Liu propose a method to constrain BH mass and spin within the framework of this model and apply the method to the thermally dominant GRB 101219B, whose initial jet launching radius, r0, is constrained from the data. Using our numerical model of NDAF jets, we estimate the following constraints on the central BH: mass MBH~5–9M⊙, spin parameter a*~0.6, and disk mass 3M⊙ <Mdisk<4M⊙. Our results also suggest that the NDAF model is a competitive candidate for the central engine of GRBs with a strong thermal component.
From: http://iopscience.iop.org/article/10.3847/0004-637X/821/2/132

Constrained mean BH mass and spin of GRB 101219B for different disk masses.