
Tong Liu, Shu-Jin Hou, Li Xue, and Wei-Min Gu
2015, ApJS, 218, 12
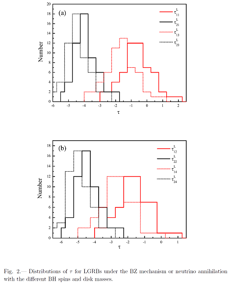
A neutrino-dominated accretion flow (NDAF) around a rotating stellar-mass black hole (BH) is one of the plausible candidates for the central engine of gamma-ray bursts (GRBs). Two mechanisms, i.e., Blandford-Znajek (BZ) mechanism and neutrino annihilation process, are generally considered to power GRBs. Using the analytic solutions from Xue et al. (2013) and ignoring the effects of the magnetic field configuration, we estimate the BZ and neutrino annihilation luminosities as the functions of the disk masses and BH spin parameters to contrast the observational jet luminosities of GRBs. The results show that, although the neutrino annihilation processes could account for most of GRBs, the BZ mechanism is more effective, especially for long-duration GRBs. Actually, if the energy of afterglows and flares of GRBs is included, the distinction between these two mechanisms is more significant. Furthermore, massive disk mass and high BH spin are beneficial to power high luminosities of GRBs. Finally, we discuss possible physical mechanisms to enhance the disk mass or the neutrino emission rate of NDAFs and relevant difference between these two mechanisms.