研究背景
对于量子色动力学(QCD)物质的相图,人们知道核密度(0.16/fm3 或157.065MeV/fm3)附近的自由度是强子,在超高密度时是色味锁定相(color-flavor locked,CFL)的夸克物质,但中等密度(数倍于核密度)的相态未知;由于非微扰难题,该密度区间的物态性质也无法直接由强相互作用第一性原理QCD理论进行计算。 致密物质状态方程(equation of state, EOS)是核天体物理交叉学科领域的前沿研究,可参阅https://mp.weixin.qq.com/mp/appmsgalbum?__biz=MzU4ODM2NjQ5Ng==&action=getalbum&album_id=2454854141660528642#wechat_redirect了解近期中子星和核天体物理相关研究工作(公众号:Nucl_Astrophys_xmu)。
在低温高密区,夸克之间在色反三重道存在吸引相互作用的事实使人们意识到夸克可能在费米面附近成对出现,从而形成色超导态。色超导的重要属性自然是存在能隙Δ. 1984 年,D. Bailin 和A. Love 利用微扰展开的方法进行研究,得到的超导能隙以及临界温度都非常小,大约是1 MeV. 二十世纪九十年代,研究人员利用非微扰理论模型(比如Nambu-Jona-Lasinio (NJL) model模型)进行计算,发现强相互作用物质的超导能隙可以达到约100 MeV, 该结果即刻广泛引起了人们的兴趣并引发了这一领域的急剧发展。色超导夸克物质不仅丰富了QCD 相图,也与中子星物理和重离子碰撞研究相关。

Figure from Yu. B. Ivanov and A. A. Soldatov, PRC 101, 024915 (2020)
研究内容与展望
色超导夸克物质被认为是极高密度冷密物质的基态。因为夸克携带色、味自由度,夸克之间的配对模式非常多,从而在不同的密度区间形成状态各不相同的色超导成分。比如在𝑠 夸克还未出现的非微扰密度区间,可能会出现完全由两味轻夸克配对形成的2SC 相;密度进一步增大的时候,倾向出现三种颜色夸克等量参与配对的CFL相等等。在近期的工作中,我们采用NJL 模型来研究冷密夸克物质2SC 相以及色超导相变与手征相变的竞争,通过Fierz 变换的技术手段,可以使类NJL 模型中的流-流接触相互作用解耦,从而得到夸克-反夸克相互作用(𝑞¯𝑞)和diquark相互作用(𝑞𝑞), 于是各种形式的四费米相互作用被显式地展现了出来。利用该方法我们可以得到一个更具一般性的相互作用形式。在平均场近似下,夸克-反夸克道和diquark道分别产生非零手征凝聚 <𝑞¯𝑞> 和diquark凝聚 <𝑞𝑞>, 这两种凝聚分别对应手征相变和色超导相变的序参量。由此动力学质量产生和diquark 凝聚可以在同一水平上自洽地描述。


图:𝛼 = 0.5时,红色夸克有效质量𝑀𝑟、diquark 能隙 Δ1 和红色夸克有效化学势 𝜇˜𝑟 随着夸克化学势的变化。

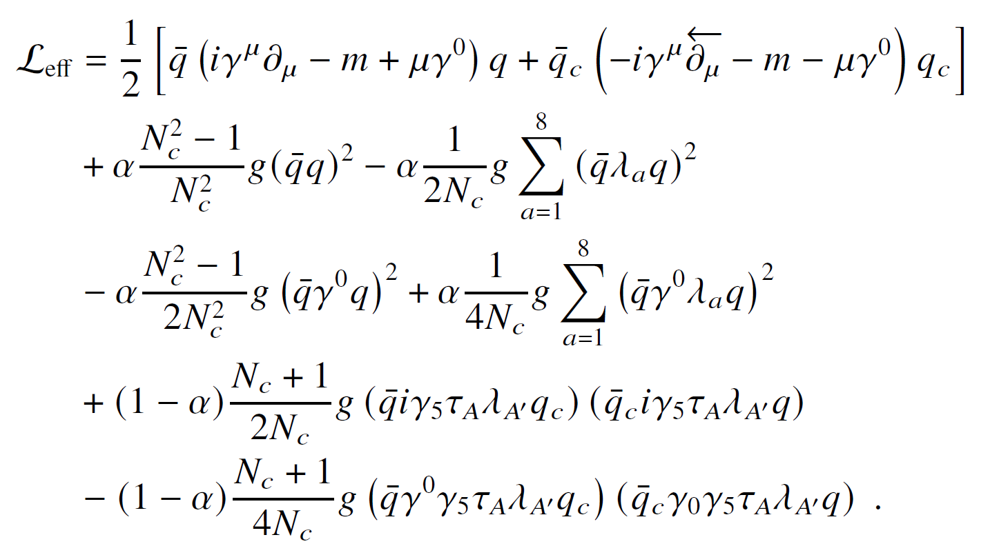
图:手征磁化率随着模型参数𝛼的行为变化。

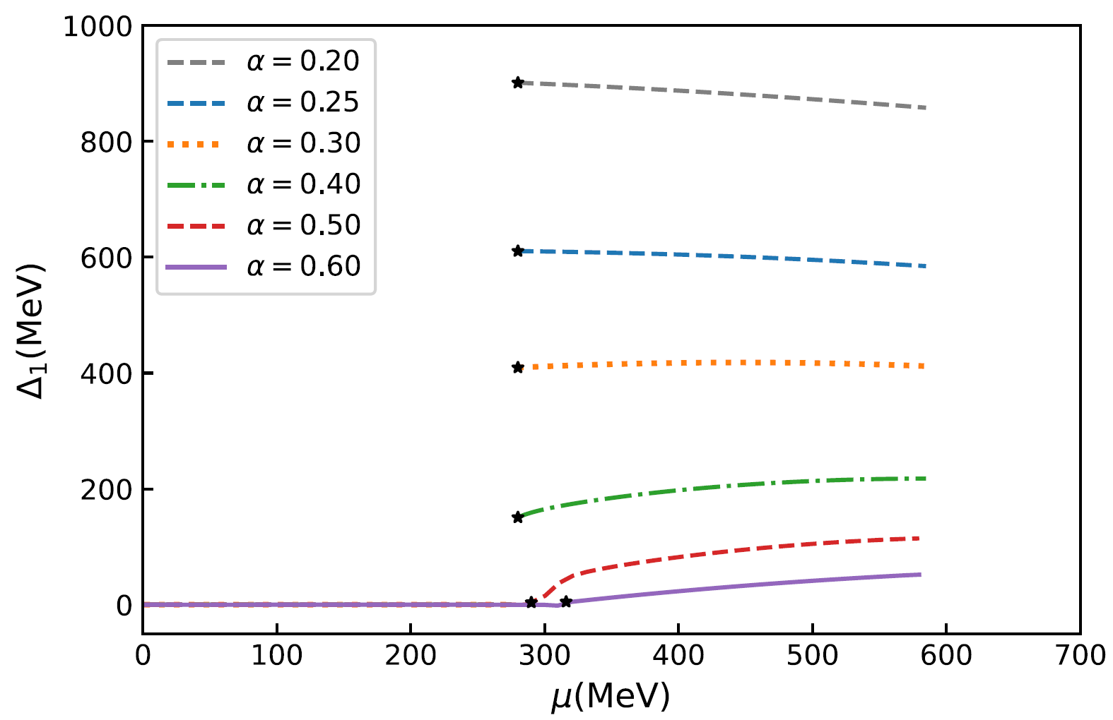
图:𝛼改变时,夸克动力学质量𝑀𝑟和diquark 能隙 Δ1随着化学势的变化。
结果表明diquark能隙的大小以及相变性质取决于夸克-反夸克道与diquark道之间的相对强度,该相对强度由𝛼 的大小决定。非物理的大超导能隙似乎排除了任何大于0.25的𝛼 值。当令𝛼 从0.25 变化到0.6 的时候,夸克凝聚和diquark 凝聚的相对强度会改变。与此同时,手征磁化率的结果说明手征相变从一级相变转变为平滑过渡;色超导能隙的行为表明其相变性质发生了相似的变化。
相关研究工作已被Physical Review D接受发表(预印本链接:https://arxiv.org/abs/2304.12050),第一作者为苑文莉(南大和厦大联合培养博士研究生),合作者为巢静宜副研究员(江西师范大学),通讯作者为李昂教授 。得到科技部SKA专项及国家自然科学基金的支持。
URL: https://journals.aps.org/prd/abstract/10.1103/PhysRevD.108.043008
在接下来的工作中,进一步限制𝛼 参数的取值对理解色超导相的性质至关重要。为此我们打算逐步将其应用于中子星的高密内核,再结合目前的天文观测进行限制。与此相关的研究已在进行中。