喜报:天体物理与宇宙学教师团队入选厦门大学“黄大年式教师团队”
喜报:天体物理与宇宙学教师团队入选厦门大学“黄大年式教师团队”

编者荐语:我系于浩然教授领衔在「中国科学:物理学 力学 天文学」发表封面研究论文。文章来源于SCPMA,作者SCPMA《中国科学:物理学 力学 天文学》英文版(SCIENCE CHINA Physics, Mechanics & Astronomy, SCPMA)出版厦门大学于浩然...

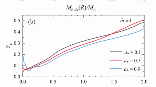
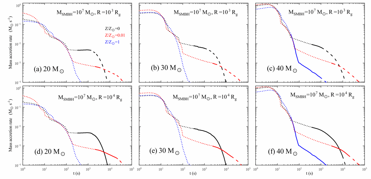
伽马射线暴(gamma-ray burst, GRB)是宇宙中最为剧烈的高能爆发现象,其中心引擎通常被认为是黑洞超吸积系统。不同前身星(如大质量恒星坍缩或致密天体并合)的物理性质存在显著差异,这种差异必然体现在吸积物质物态和组分上。在本...

研究背景原子气体是星系中重要气体成分之一,也是恒星形成的重要原料。中性氢21cm线是原子气体的重要示踪物,为研究星系中的气体演化过程提供了重要手段。并合是星系演化的一个重要阶段,它能够触发剧烈星暴活动。在此过程中,冷气体...

近日,第十届厦门大学大学生创新年会安踏创新专项奖励基金本科生优秀论文奖评选结果揭晓。我系本科生凭借扎实的专业素养和出色的科研成果,在激烈的竞争中脱颖而出,荣获一等奖1项、二等奖1项。其中,王明阳同学撰写的论文荣获本科生...