天文学家发现低表面亮度星系中的巨大核星团,揭示星系并合与黑洞形成线索
由厦门大学天文学系教授王俊峰、博士后学者曹天文领衔的国际研究团队,利用多波段天文数据,在低表面亮度星系AGC 223218中心发现了一个质量巨大的核星团(NSC),并推测其可能源于一次星系并合事件。该研究成果已于近期发表于国际天体物理学术期刊《The Astrophysical Journal...
2025-10-09
由厦门大学天文学系教授王俊峰、博士后学者曹天文领衔的国际研究团队,利用多波段天文数据,在低表面亮度星系AGC 223218中心发现了一个质量巨大的核星团(NSC),并推测其可能源于一次星系并合事件。该研究成果已于近期发表于国际天体物理学术期刊《The Astrophysical Journal...
2025-10-09
背景介绍 X射线双星由一颗正常恒星与一颗中子星或恒星级黑洞组成,是研究中子星和恒星级黑洞的重要目标源。理论预言银河系中存在数以亿计的恒星级黑洞,但目前通过动力学方法证认的不足30个,其中多数黑洞系统的发现依赖X射线爆发。X射线双星在爆发期间会产生极高的X射...
2025-09-29
2025年9月19日,Elsevier联合美国斯坦福大学隆重发布了最新版2025年World's Top 2% Scientists排行榜(第八版)。厦门大学天文学系李昂教授入选“年度科学影响力”榜单。
2025-09-25
研究背景 天文观测中的环状结构因其优美的对称性而格外引人注目,这种对称性往往意味着其背后的物理过程相对简单直观。然而,已报道的环状结构大多出现在演化阶段较晚的恒星形成区。相比之下,在早期环境的分子云中,尤其是红外 70 μm 暗云,这类结构此前鲜有发现。70μm暗云...
2025-09-17
研究背景介绍原恒星外流是恒星形成活动开始的关键指征,标志着原恒星已进入活跃的物质吸积阶段。红外暗云(IRDCs)因其冷却且高密度的特性,被认为是大质量恒星诞生的摇篮,特别是其中的 70 μm 暗云,被视为大质量恒星形成过程的最早阶段。早期研究普遍认为这些区域处于静态...
2025-09-17
近日,厦门大学天文学系与中国科学院新疆天文台等单位合作,利用南山26米和Parkes 64米射电望远镜的长期观测数据,在旋转供能脉冲星PSR J1835-1106中发现了一次罕见的反glitch事件(anti-glitch)。该成果已发表于天文学科的国际一流期刊《The Astrophysical Journal Letters》...
2025-09-16
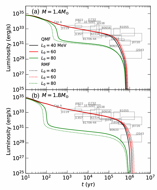
近日,厦门大学李昂教授团队成功实现了对中子星静态结构与动态演化行为的自洽描述。该项研究成果以"Unified quark mean-field equation of state for neutron star matter: Static and dynamic properties"为题,发表于物理学一流期刊《物理评论D》(Physical Review D 112, 04...
2025-09-05
近日,我系方陶陶教授、张小霞助理教授团队与合作者在银河系热气体晕研究方面取得重要进展,相关论文已被《The Astrophysical Journal》正式接受。研究通过分析高分辨率数值模拟数据,深入探究了类银河星系周围热气体晕的物理起源与观测特征。 理论模型预言,大质量星系周围应...
2025-09-01
活动星系核(AGN)的光变是其最为显著的观测特性之一,然而具体物理起源机制仍不明确。基于活动星系核中心超大质量黑洞吸积盘内存在大量恒星和致密天体这一共识,我们提出一个新的模型用于解释AGN多波段的光变特性。具体来说,我们考虑一颗卫星黑洞由于AGN吸积盘的密度扰动而迁...
2025-08-26
各单位会员、各省市天文学会、各有关单位:近年来中国天文学会学术年会知名度不断提高,影响力不断扩大。为丰富学术年会活动内容,有序组织年会期间的推广活动,更好地为参会单位与个人搭建服务交流平台,中国天文学会经与承办单位商定,将统一安排中国天文学会2025年学术年会...
2025-08-26