中子星是宇宙中密度最高的天体之一,其内部物质状态远超原子核密度,是研究致密核物质状态方程(EoS)、超流/超导配对行为及新奇粒子自由度(如超子、介子凝聚、夸克物质)等极端条件下微观物理的天然实验室。在中子星形成后百年内,内部经历从非热平衡状态向全星等温结构演化的过程,称为热弛豫阶段。该阶段时间尺度短(几十至几百年),但对后续的长期冷却行为具有决定性影响。近年来,Cas A等年轻中子星的热演化观测,提供了罕见的时间分辨冷却数据,引发了对快速冷却机制及其微观起源的广泛关注。
传统观点认为快速冷却伴随快速热弛豫。本工作首次明确指出,快速冷却中子星中存在两类主要的热弛豫延迟机制:一种由配对破裂(PBF)过程触发,导致核心-壳层之间的热耦合出现“再断裂”;另一种由直接Urca(dUrca)过程主导,因核心局域过冷区域与外核之间的耦合迟滞而引发延迟。我们的工作系统研究了中子星热弛豫过程中因PBF和dUrca过程而产生的热弛豫延迟现象,旨在探索冷却行为对致密物质EoS及其配对性质的约束能力。研究采用了多种相互作用下的中子星结构模型,涵盖不同的矢量与标量相互作用道。

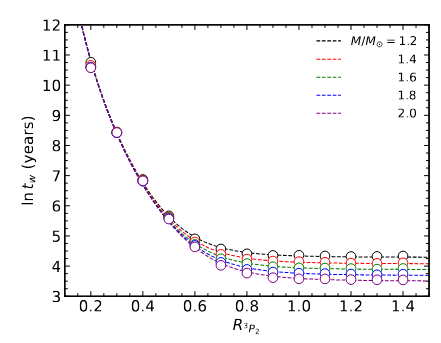
图 1 不同质量中子星热弛豫时间与中子超流特征温度的关系。R_{^3P_2}是中子星特征温度与参考温度 10^9 K的比值。
在该工作中,我们重点分析了核子配对态(尤其是中子^3P_2)对热弛豫延迟的影响机制。结果发现:当内部温度降低到核心中子的$^3P_2$超流特征温度时,PBF过程会突然增强中微子发射,使得原本建立的壳核热耦合被打破,并在随后重新建立。这一现象导致热弛豫出现“延迟”峰。我们建立了一个简单模型描述该现象,并通过对比Cas A中子星的观测数据,对中子$^3P_2$临界温度给出约束。

图 2 中子星内部温度分布随时间的演化。在dU core,直接Urca过程被激活。
我们还系统研究了非核子粒子(如超子)引发的dUrca过程如何影响核心热耦合。在高质量中子星中,随着密度的升高,Λ超子可能首先出现。Λ超子的出现激活了Λp通道的dUrca过程,该过程具有极高的中微子辐射效率,能够显著增强能量耗散、加速局域冷却。这一机制主要在中子星核心的高密小体积区域(我们称为 dU core)发生,形成了一个持续吸收外层热量的冷区。然而,dU core 与周围外核区域之间的热耦合是非瞬时完成的,尤其当 dU core 体积较小时,其持续吸热效应使得外核区域冷却的加速效应明显减弱,导致整体热弛豫过程被延迟。我们提出了一个简洁的解析模型来刻画该过程,揭示了热弛豫时间随 dUrca 区域的半径和局部温度强烈变化,在特定EoS和超流条件下,超子激活的微观中微子过程可与核心热容与热输运机制共同作用,形成一个缓慢响应的宏观热耦合系统,为中子星冷却观测提供了一种可被验证的物理图像。
本工作展示了热弛豫行为在连接EoS、超流/超导配对机制与观测温度演化曲线中的关键作用,成功地将如超流临界温度、超子Urca过程激活密度等微观物理量直接与观测到的热弛豫时标联系起来,为未来通过观测反演微观物理参数提供了新路径。我们提出的解析模型结构简明、物理透明,可作为高维(2D/3D)模拟的基础模块,为考虑磁场演化、热各向异性等更复杂情况提供理论支撑。
相关研究工作以“Delayed Thermal Relaxation of Rapidly Cooling Neutron Stars: Nucleon Superfluidity and Non-nucleon Particles”为题已被ApJ接受发表(Tu & Li, 2025 ApJ 987, 6)。预印本链接:https://arxiv.org/abs/2503.14059。论文第一作者为涂中豪博士后,通讯作者为李昂教授。此工作得到了科技部SKA专项和国家自然科学基金的支持。
厦门大学核天体物理组致力于中子星EoS研究,可参阅https://mp.weixin.qq.com/mp/appmsgalbum?__biz=MzU4ODM2NjQ5Ng==&action=getalbum&album_id=2454854141660528642#wechat_redirect了解更多近期相关研究工作(公众号:Nucl_Astrophys_xmu)。