
The Vela supernova remnant at optical wavelengths (Credit: CTIO/AURA/NSF), with location of the Vela pulsar indicated. Inset: Artist's impression of the pulsar’s interior, and the interaction between superfluid vortices and the nuclei that make up the star’s crust.
脉冲星周期跃变(glitch)提供了研究超核密度物质状态方程(EoS)和中子星内部物质组成的重要窗口。目前约6%的已知脉冲星表现出这种行为,其中Vela脉冲星的观测数据尤为丰富。理论与观测的协同进展有望建立适用于Vela类脉冲星的通用跃变模型,从而进一步揭示核力中尚不明确的同位旋性质,这是本研究关注的核心问题之一。
一般认为,周期跃变是由脉冲星内部超流成分与正常成分(壳层)的快速角动量交换触发的。超流成分主要由超流中子组成,表现为超流涡旋。超流涡旋与中子星内壳层核晶格的相互作用(起源于核力)导致其可以钉扎在原子核上或原子核之间。当马格努斯力超过最大钉扎力后,大规模的涡旋解钉扎导致了角动量从超流成分到壳层的快速转移。为了尽可能多地从周期跃变观测中提取信息,最近,我们提出并实现了一种自洽且系统的方法,将微观核物理与宏观天体物理过程结合起来进行研究。

图 1 xy平面下涡旋钉扎在原子核上以及钉扎在原子核之间(胞间钉扎)的示意图。红色虚线表示涡旋大小。
在本研究中,我们首先采用核多体理论为基础,通过调整核力参数,统一描述中子星壳层与核心的状态方程及物质组成。在此基础上,计算了中子星内壳层超流涡旋在核晶格中的钉扎能,并进一步得到与核相互作用参数和超流极化强度相关的钉扎力演化。
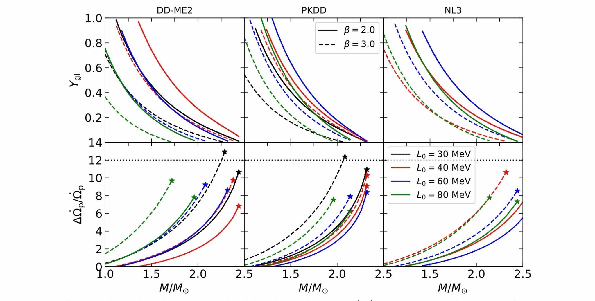
将上述微观和宏观信息输入周期跃变雪犁模型,我们以2000年Vela脉冲星跃变事件为例,分析了核力参数和中子星质量的可能取值范围。结果表明,涡旋在内壳层顶部区域倾向于弱的胞间钉扎,而在深层区域则更容易被强力钉扎在原子核上。在同位旋标量道下,所选的核力对钉扎性质影响较小;而在同位旋矢量道中,较小的对称能斜率L会减弱胞间钉扎,但增强核钉扎。极化效应则在两类钉扎机制中都起到减弱钉扎力的作用。结合2000年Vela跃变观测数据,我们将对称能斜率参数L限制在40 MeV以下,并推测Vela可能是一颗大质量中子星,其质量约为2.3个太阳质量。

图 2 周期跃变雪犁模型预测与Vela 2000周期跃变事件观测的比较。其中Ygl是耦合到正常成分的核心超流比例。Vela 2000周期跃变事件给出的跃变后短时标的自转下降率突变为18+-6。
展望未来,进一步发展多体理论(包括相对论与非相对论全量子计算)并结合核意面(pasta)结构的影响,将有助于更准确地刻画内壳层中的钉扎机制。此外,FAST、SKA 和 eXTP 等观测设备的高质量脉冲星测时数据,以及多波段联合观测计划,将为我们提供关于中子星内部结构和磁层动力学的关键数据。
相关研究工作以“Exploring Nuclear Forces with Pulsar Glitch Observations”为题已被ApJ接受发表( Tu & Li,2025 ApJ 984, 200)。预印本链接:https://arxiv.org/abs/2412.09219。论文第一作者为涂中豪博士后,通讯作者为李昂教授。此工作得到了科技部SKA专项和国家自然科学基金的支持。
相关阅读:
X.-L. Shang, and A. Li, Revisiting the post-glitch relaxation of the 2000 Vela glitch with the neutron star equation of states in the Brueckner and relativistic Brueckner theories, ApJ 923, 108 (2021)
https://iopscience.iop.org/article/10.3847/1538-4357/ac2e94
A. Li, R. Wang, Pulsar glitch and nuclear EoS: Applicability of superfluid model, IAU Symposium 337 pp. 360- 50 Years of Pulsars, Jodrell Bank Observatory, United Kingdom, 4-8 September (2017)
https://www.cambridge.org/core/journals/proceedings-of-the-international-astronomical-union/article/pulsar-glitch-and-nuclear-eos-applicability-of-superfluid-model/617EEB8B6BD057DE05B8DBBC3DCC7B58
A. Li, J. M. Dong, J. B. Wang, and R. X. Xu, Structures of the Vela pulsar and the glitch crisis from the Brueckner theory, ApJS 223, 16 (2016)
https://iopscience.iop.org/article/10.3847/0067-0049/223/1/16
厦门大学核天体物理组致力于中子星EOS研究,可参阅https://mp.weixin.qq.com/mp/appmsgalbum?__biz=MzU4ODM2NjQ5Ng==&action=getalbum&album_id=2454854141660528642#wechat_redirect了解了解更多近期相关研究工作(公众号:Nucl_Astrophys_xmu)。