厦门大学天文学系邀请欧洲科学与艺术学院院士Marek Abramowicz教授做南强学术讲座
2024年5月22日下午,南强学术讲座《The black hole accretion: horizon, ISCO, ergosphere and the Penrose process》在厦门大学物理大楼552报告厅举行。本次讲座邀请到欧洲科学与艺术学院院士、瑞典哥德堡大学Marek Abramowicz教授主讲。厦门大学物理科学与技术学院...
2024-05-24
2024年5月22日下午,南强学术讲座《The black hole accretion: horizon, ISCO, ergosphere and the Penrose process》在厦门大学物理大楼552报告厅举行。本次讲座邀请到欧洲科学与艺术学院院士、瑞典哥德堡大学Marek Abramowicz教授主讲。厦门大学物理科学与技术学院...
2024-05-24
研究背景介绍活动星系核(AGN)是宇宙中的一类特殊天体,中心超大质量黑洞的吸积作用使其产生从射电到X射线以及γ射线波段的快速光变。AGN自身的物理尺度相对其与地球的距离而言非常小。对于绝大部分AGN,天文学家无法利用地面或者空间望远镜直接“看到”中心引擎的物理结构。...
2024-05-20
近来,双黑洞合并引力波事件GW 190521以及疑似电磁对应体ZTF19abanrhr的发现,掀起了研究活动星系核吸积盘中的恒星形成与演化、致密天体演化与并合,以及爆发天体或潜在引力波电磁对应体的浪潮。一般认为,活动星系核吸积盘外区孕育了大量恒星,同时,超大质量黑洞也可能捕获周...
2024-05-12
研究背景1963年,加州理工学院天文学家Maarten Schmidt发现第一个类星体3C 273,其与地球的距离可达24亿光年,却看起来仍然十分明亮(视星等为12.9等)。这项发现也让Maarten Schmidt登上时代周刊。随后,越来越多的类星体被发现,其普遍具有高辐射功率、遥远的距离和快速的...
2024-04-26
QCD致密物质的状态究竟如何?对中子星的相关研究或可解开这一难题。在数倍核饱和密度的中子星内部,可能发生强子相到夸克相的解禁闭相变。通过对核心存在强相互作用一阶相变的混杂星的潮汐激发 g 模进行首次自洽的广义相对论计算,我们揭示了双中子星旋近期间的引力波信号可用...
2024-04-09
研究背景与大多数恒星的亮度极为稳定不同,活动星系核(AGN)是一类存在固有亮度变化的天体。AGN光度变化的幅度和时间都无特定的周期。结合AGN在短时标的光变、因果律和光速限制,天文学家发现AGN中心引擎的几何尺寸非常小,仅为太阳系大小。考虑到AGN与地球相距数十亿乃至于百...
2024-03-30
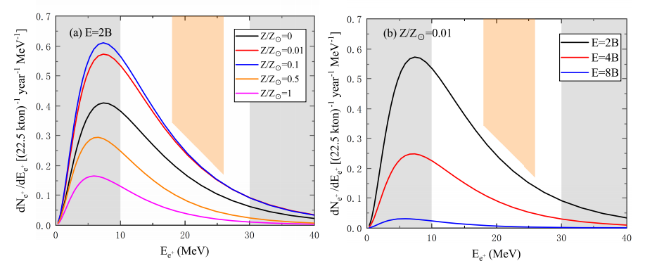
宇宙MeV中微子背景是宇宙中过往所有的MeV能段中微子发射源贡献的总MeV中微子流量。该背景是下一代MeV能段中微子探测器的重要科学目标之一。除了超新星爆发之外,中微子主导的吸积流(NDAF)也是重要的MeV能段中微子发射源并会对中微子背景产生贡献。相较于超新星产生的中微子背...
2024-03-26
背景介绍:活动星系核(AGN)位于星系中心,其高光度、剧烈光变的电磁辐射覆盖了电磁频谱的各个波段。AGN由超大质量黑洞(SMBH)的吸积气体作为中心引擎,其能源释放效率是银河系的成千上万倍。AGN 的内部结构可以概括如下:中心为超大质量黑洞,向外分别是 X 射线冕(corona)...
2024-03-13
此研究利用高分辨率数值模拟探索了具有两个独立旋转棒结构(双棒)的星系内的气体流动模式,由上海师范大学的李智(第一作者)和厦门大学的杜敏(通讯作者)副教授等人合作完成。研究成果已在国际知名学术期刊《天体物理学报》上发表。该项目进行过程中,杜敏副教授取得了一系...
2024-01-15
星系所处的寄主暗物质晕与星系的形态和演化之间的相关关系一直是天文学研究的热点之一。厦门大学天文学系杜敏副教授的研究团队于2022年在国际著名期刊天体物理快报(Astrophysical Journal Letters)上发表了一项关于星系角动量与质量关系的重要研究成果。研究表明,世界上最先...
2024-01-15