宇宙MeV中微子背景是宇宙中过往所有的MeV能段中微子发射源贡献的总MeV中微子流量。该背景是下一代MeV能段中微子探测器的重要科学目标之一。
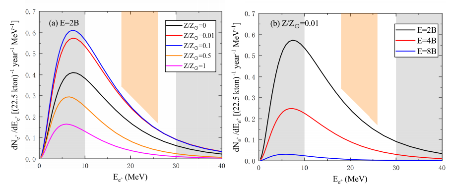
除了超新星爆发之外,中微子主导的吸积流(NDAF)也是重要的MeV能段中微子发射源并会对中微子背景产生贡献。相较于超新星产生的中微子背景而言,目前对于NDAF产生的中微子背景的研究还不够充分。核心坍缩超新星爆发的物质回落过程可能会产生NDAF系统。我们基于核心坍缩超新星数值模拟,研究了前身星属性和超新星初始爆发能量对NDAF贡献的中微子背景的影响,并计算了该背景在中微子探测器Super-Kamiokande中的事件率。结果表明,超新星爆发的初始爆发能量和前身星金属丰度会对吸积盘辐射的中微子光度产生显著的影响从而影响吸积盘贡献的中微子背景(如图1所示)。如果超新星初始爆发能量普遍较低,NDAF贡献的中微子背景可能与超新星贡献的中微子背景相当,并有可能被新一代的中微子探测器Hyper-Kamiokande、JUNO和DUNE等探测到。此外,在外流很强的情况下,NDAF的中微子光度将明显降低从而显著影响NDAF中微子背景的流量。
该工作已经ApJ接受发表。文章的第一作者是天文学系博士后韦云锋,通讯作者为刘彤教授,合作者为宋翠英(清华大学博士后)。此工作得到了国家自然科学基金资助和国家资助博士后研究人员计划的支持。
论文链接:https://arxiv.org/abs/2403.16856v1

图1 前身星金属丰度和初始爆发能量对NDAF中微子背景的影响