(1)中等质量黑洞-白矮星潮汐瓦解起源的短寿命重复快速射电暴
快速射电暴(Fast Radio Bursts,FRB)是时标在毫秒量级且电磁辐射在射电波段的一类暂现源。根据已有的观测数据,快速射电暴大致可分为重复暴(RFRB)和非重复暴两类(One-off FRB),其起源仍然不清楚。
潮汐瓦解事件(Tidal Disruption event, TDE)也是宇宙中的一类重要暂现源。其中心天体一般为致密天体。当潮汐星的轨道半径小于中心天体的潮汐半径时,潮汐星会被中心天体捕获并瓦解,一部分瓦解的物质因引力弹弓效应被高速甩出系统,而另一部分瓦解的物质则落向中心致密天体。由于物质吸积过程的存在,潮汐瓦解事件常常会伴随出现明亮的电磁辐射。
在本工作中,我们研究了中等质量黑洞(Intermediate-Mass Black Hole, IMBH)潮汐瓦解白矮星(White Dwarf, WD)中,白矮星碎片切割黑洞吸积盘磁场的过程,预言该类潮汐瓦解事件可能与重复快速射电暴成协(如图一所示)。通过定量估算,可以发现碎片前后端抵达黑洞视界的时间间隔与重复暴的典型时标一致,并且辐射完全满足快速射电暴所需,这表明中等质量黑洞-白矮星潮汐瓦解事件完全可以产生重复暴,而且爆发总时标应该短于潮汐瓦解时标。
该论文以“Short-lived repeating fast radio bursts from tidal disruption of white dwarfs by intermediate-mass black holes”为题,已被MNRAS Letters接受发表。第一作者为硕士研究生邢晶童,通讯作者为刘彤教授。此工作得到了国家自然科学基金资助。
论文链接:https://arxiv.org/abs/2312.03107

图一 中等质量黑洞潮汐瓦解白矮星触发重复快速射电暴的基本图像
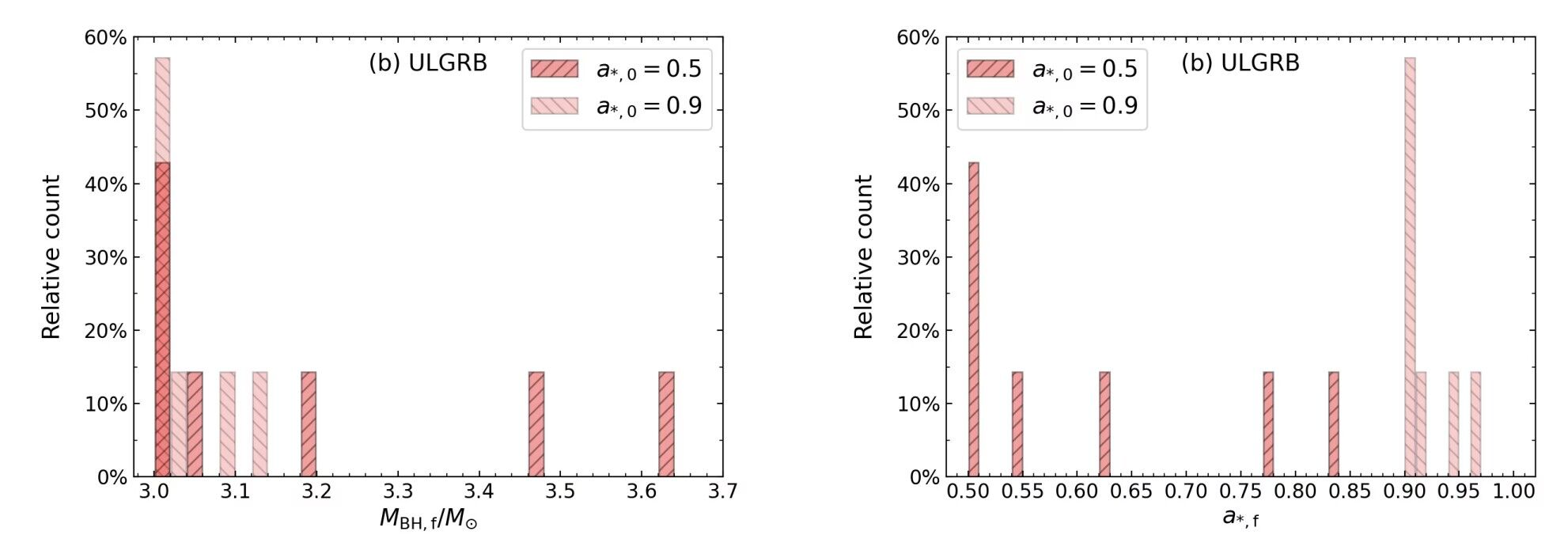
(2)Blandford-Znajek(BZ)机制驱动伽马射线暴的中心黑洞增长
伽马射线暴是来自宇宙空间的短时间伽马射线爆发现象。伽马暴分为长暴 (LGRB, 持续时间大于2秒)和短暴(SGRB, 持续时间小于2秒)。此外,还观测到了持续时间大于约1000秒的超长暴(ULGRB)。通常,长暴起源于大质量恒星坍缩,短暴起源于致密天体并合。伽马暴中心引擎的候选体之一是黑洞超吸积系统,这个系统通过中微子湮灭过程或BZ机制提取黑洞引力能或转动能产生极端相对论性喷流,进而触发伽马暴。黑洞的吸积过程会导致黑洞质量和自旋发生剧烈的演化。
本工作统计了206个长暴、7个超长暴和41短暴样本,基于BZ机制,计算了中心黑洞的质量(初始质量为3倍太阳质量)和自旋的演化。主要结论如下:(1)对于长暴,在初始自旋参数为0.5的情况下,中心黑洞质量平均吸积增长0.203倍太阳质量(图二)。在所有长暴样本中,只有GRB 050401的最终质量能够超过5倍太阳质量,其自旋也达到了最高限值0.998;(2)对于超长暴,在初始自旋参数为0.5的情况下,其中心黑洞质量平均吸积增长0.193倍太阳质量(图三);(3)对于短暴,在初始自旋参数为0.5的情况下,其中心黑洞平均吸积增长0.0173倍太阳质量,在初始自旋参数为0.9的情况下,平均吸积增长0.0026倍太阳质量(图四)。
该论文以“Black hole growths in gamma-ray bursts driven by the Blandford-Znajek mechanism”为题,被MNRAS接受发表。论文第一作者为博士研究生李晓燕,通讯作者为刘彤教授。此工作得到了国家自然科学基金的支持。
论文链接:https://arxiv.org/abs/2312.03109

图二 左:长暴中心黑洞最终质量分布;右:长暴中心黑洞最终自旋分布。

图三 左:超长暴中心黑洞最终质量分布;右:超长暴中心黑洞最终自旋分布。

图四 左:短暴中心黑洞最终质量分布;右:短暴中心黑洞最终自旋分布。