研究人员依托LAMOST和SDSS数据发现40个“变脸”活动星系核
近期,厦门大学顾为民教授的研究团队基于国家重大科技基础设施郭守敬望远镜(LAMOST)和美国斯隆数字巡天项目(SDSS)的多历元光谱数据,新发现了40个“变脸”活动星系核(CL-AGN)和29个“变脸”活动星系核候选体。该研究结果扩大了CL-AGN的样本数量,为后续研究吸积盘态转变...
2025-05-16
近期,厦门大学顾为民教授的研究团队基于国家重大科技基础设施郭守敬望远镜(LAMOST)和美国斯隆数字巡天项目(SDSS)的多历元光谱数据,新发现了40个“变脸”活动星系核(CL-AGN)和29个“变脸”活动星系核候选体。该研究结果扩大了CL-AGN的样本数量,为后续研究吸积盘态转变...
2025-05-16
研究背景介绍 根据有无氢的巴耳末宽发射线(主要指Hα和Hβ线),活动星系核(AGN)可被分为1型和2型。根据AGN的统一模型,AGN的类型主要由观测视线是否被尘埃环遮蔽决定,不会在可观测时间内发生改变。近年来的观测表明,部分AGN会在几年至几十年的时标上观测到宽发射线的消失...
2025-05-14
研究背景介绍天文学家研究表明,银河系内约半数以上的恒星存在于双星系统或多星系统中。其中,食双星(Eclipsing Binary)是指双星在相互绕转轨道时彼此掩食造成光度发生周期性变化的系统(如图1所示)。此类系统的光变曲线蕴含双星轨道参数与恒星结构信息,可以精确测定其双星...
2025-05-07
研究背景介绍 棒旋星系是盘星系中的一种常见类型,约三分之二的盘星系中可见中心棒状结构。这些棒结构不仅是物质输送和恒星形成的关键通道,更是驱动星系长期演化的重要机制。星系所处的外部环境及内部的动力学性质的差异都能够显著地影响棒的性质与演化。因此,大规模星系宇宙...
2025-04-26
研究背景介绍 厦门大学天文学系团队通过数值模拟研究,揭示了致密矮星系这一宇宙“怪胎”的起源之谜。杜敏副教授等人提出,其高密度、富金属的特性与大质量宿主星系的极端环境密不可分,而最新研究进一步量化了不同形成路径的贡献。图1: 恒星质量-金属丰度图上致密矮星系的演化...
2025-04-21
中天学字(2025)第2号中国天文学会2025年学术年会通知第一号中国天文学会定于2025年10月31日-11月4日,在福建省厦门市召开中国天文学会2025年学术年会。主办单位:中国天文学会承办单位:厦门大学天文学系协办单位:国家自然科学基金委员会数理科学部、中国科学院国家天文台、...
2025-04-16
由中国科学院高能物理研究所、厦门大学、中国海洋大学和中国科学院声学研究所联合申办,以"中微子前沿与深海探测"为主题的第779次香山科学会议于2025年3月28-29日在厦门召开,来自国内外20余家单位的50余名专家学者共同绘制中微子天文学与海洋科技融合发展的战略蓝图。本次会议...
2025-04-02
2025年2月28日下午,中国科学院院士、中国科学院国家天文台首席科学家赵刚研究员,应邀在厦门大学海韵校区物理大楼552报告厅为厦门大学天文学系师生分享了题为“寻找太阳系外行星”的南强学术讲座。讲座开始前,方陶陶教授向赵刚院士赠送“厦门大学南强学术讲座”纪念牌。赵刚...
2025-03-20
研究发现,恒星从冷的致密分子云核中诞生。大质量恒星诞生后强烈的紫外辐射和星风会电离并加热周围的气体,很快重新塑造其分子云团环境。当大质量恒星演化的生命走到终点时,会发生剧烈的超新星爆发,将大量机械能释放到周围的星际介质中,使气体温度升高至数百万开尔文,这些...
2025-03-18
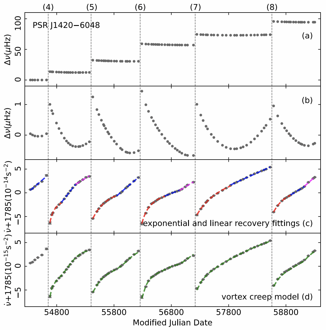
来自厦门大学、中国科学院新疆天文台、中国科学院高能物理研究所研究团队联合Fermi-LAT和Parkes对 PSR J1028−5819、J1420−6048、J1509−5850 、J1709−4429 (B1706−44)和J1718−3825 这五颗脉冲星超过14年的观测数据进行多波段计时分析。
2025-03-15