脉冲星是高度磁化的中子星,具有快速且稳定的自转。然而,通过长时间计时观测揭示,脉冲星的自转频率可能在极短时间内(几十秒内)突然增加,该现象被称之为周期跃变。周期跃变普遍被看作为脉冲星内部存在超流成分的证据,是由脉冲星中超流区域与星体(内)壳层的角动量快速交换引起的。超流涡旋与晶格的相互作用可使两者耦合,超流成分与荷电部分的解耦和重新耦合可能是观测到的周期跃变和恢复的物理机制。深入研究周期跃变,对于揭示脉冲星的内部结构及其内部动力学具有重要的意义。
来自厦门大学、中国科学院新疆天文台、中国科学院高能物理研究所研究团队联合费米伽马射线大面积望远镜(Fermi Large Area Telescope: Fermi-LAT)和帕克斯64米射电望远镜(Parkes 64 m radio telescope)对 PSR J1028−5819、J1420−6048、J1509−5850 、J1709−4429 (B1706−44)和J1718−3825 这五颗脉冲星超过14年的观测数据进行多波段计时分析。
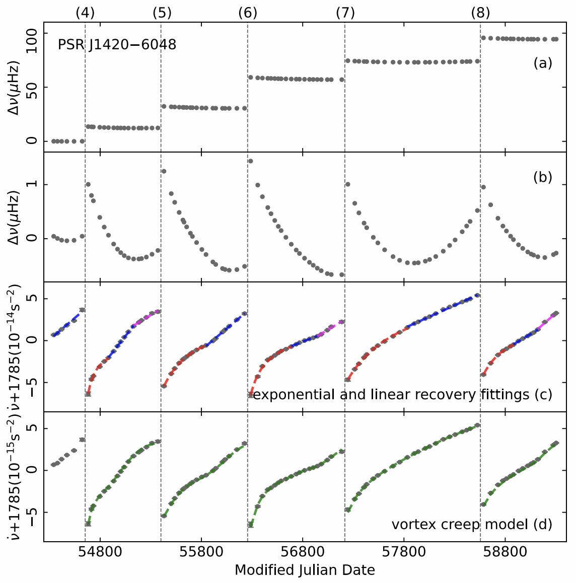
研究人员在其中四颗脉冲星中探测出了12次跃变事件,其中包括一次此前未被报道的小跃变。具体而言,在PSR J1718−3825中发现了一次新的小跃变(MJD 59121(8))。对于PSR J1420−6048,研究证实了在第4、6和8次跃变后,其自转减慢率的演化过程中存在两个线性恢复项,并在第8次跃变后观察到了指数恢复项。此外,关于PSR J1709−4429的第4次跃变,研究揭示了在跃变后存在两个指数恢复项。这些研究表明多波段数据有助于更好地表征跃变恢复过程,并进一步约束跃变事件的潜在物理机制。而长期观测数据的积累揭示了跃变现象的复杂性,为建立更完善的跃变理论模型提供了有力支持。
根据上述发现,研究团队将周期跃变与中子星内部超流涡旋的动力学联系起来,并在涡旋爬行模型的框架下对这些事件进行理论解释。研究表明,触发这些跃变所需的壳层超流体的总转动惯量占比约为 3.5%,这表明除壳层超流体外,部分外核区域的超流体也可能参与了跃变。此外,涡旋爬行模型另一个重要推论是,模型对下一次跃变时间的预测与实际观测的跃变间隔时间基本吻合。因此,通过对计时数据的拟合,可以为相应脉冲星规划未来的观测,进一步探索跃变发生时脉冲星辐射的变化。这样的探测将使我们能够将磁层物理学与内部动力学联系起来,并揭示它们之间的相互作用。在涡旋爬行模型中,不同的涡旋-晶格耦合(钉扎)区域会对壳层转动的改变产生线性响应或非线性响应,而这正好分别对应着跃变后的指数弛豫和线性弛豫。可以研究跃变后恢复的不同部分,特别是指数弛豫,以推断与中子星和核心物质相关的微观物理学。
相关研究成果已发表在《皇家天文学会月报》(Monthly Notices of the Royal Astronomical Society, 2025, 537, 1720)。第一作者为厦门大学天文学系刘鹏博士研究生,通讯作者为袁建平研究员(中国科学院新疆天文台)、葛明玉研究员(中国科学院高能物理研究所)和李昂教授(厦门大学),其他合作者包括: 中国科学院高能物理研究所叶文韬,中山大学周世奇,贵州师范大学党世军副教授,中国科学院国家授时中心周祖荣,中国科学院国家天文台E. Gugercinoglu和王培研究员,厦门大学博士后涂中豪,清华大学李菂教授,中国科学院新疆天文台王娜研究员。该成果得到科技部SKA专项、中国科学院战略性先导科技专项、国家自然科学基金等的支持。下一步,研究人员计划引入X射线望远镜(比如eXTP)的计时数据,结合射电、伽马射线和X射线的多波段观测,进一步分析更多脉冲星的周期跃变现象,研究众多类型周期跃变事件的物理,以深入理了解脉冲星结构和跃变理论。

图1. PSR J1420−6048在周期跃变前后的自转参数的演化图像,中竖直的虚线为跃变发生时刻,顶部括号的数字为跃变的序号。

图2. PSR J1509−5850自转减慢率 随时间的演化,蓝色和紫色虚线分别为线性和涡旋弯曲模型的拟合。
相关阅读:
P. Liu, J.-P. Yuan, M.-Y. Ge, W.-T. Ye, S.-Q. Zhou, S.-J. Dang, Z.-R. Zhou, E. Gügercinoğlu, Z.-H Tu, P. Wang, A. Li, D. Li, and N. Wang, A multiband study of pulsar glitches with Fermi-LAT and Parkes, MNRAS 537, 1720 (2025)
https://academic.oup.com/mnras/article/537/2/1720/7965970
P. Liu, J.-P. Yuan, M.-Y. Ge, W.-T. Ye, S.-Q. Zhou, S.-J. Dang, Z.-R. Zhou, E. Gügercinoğlu, W.-H. Wang, P. Wang, A. Li, D. Li, and N. Wang, Pulse profile variability associated with the glitch of PSR J1048-5832, MNRAS 533, 4274 (2024)
https://academic.oup.com/mnras/article/533/4/4274/7739183
厦门大学李昂教授团队和合作者在脉冲星PSR J1048−5832周期跃变的多波段研究方面取得进展
https://astro.xmu.edu.cn/info/1050/17634.htm
X.-L. Shang, and A. Li, Revisiting the post-glitch relaxation of the 2000 Vela glitch with the neutron star equation of states in the Brueckner and relativistic Brueckner theories, ApJ 923, 108 (2021)
https://iopscience.iop.org/article/10.3847/1538-4357/ac2e94
A. Li, R. Wang, Pulsar glitch and nuclear EoS: Applicability of superfluid model, IAU Symposium 337 pp. 360- 50 Years of Pulsars, Jodrell Bank Observatory, United Kingdom, 4-8 September (2017)
https://www.cambridge.org/core/journals/proceedings-of-the-international-astronomical-union/article/pulsar-glitch-and-nuclear-eos-applicability-of-superfluid-model/617EEB8B6BD057DE05B8DBBC3DCC7B58
A. Li, J. M. Dong, J. B. Wang, and R. X. Xu, Structures of the Vela pulsar and the glitch crisis from the Brueckner theory, ApJS 223, 16 (2016)
https://iopscience.iop.org/article/10.3847/0067-0049/223/1/16