研究背景
1963年,加州理工学院天文学家Maarten Schmidt发现第一个类星体3C 273,其与地球的距离可达24亿光年,却看起来仍然十分明亮(视星等为12.9等)。这项发现也让Maarten Schmidt登上时代周刊。随后,越来越多的类星体被发现,其普遍具有高辐射功率、遥远的距离和快速的亮度变化,表明类星体的中心只能是超大质量黑洞巨型吸积盘的引力发动机。超大质量黑洞,其质量可达数百万乃至于数百亿倍太阳质量,也通过巨型气体吸积盘持续增长质量。对类星体的光谱观测表明,超大质量黑洞周围气体是富含金属的,其金属含量与宇宙年龄没有显著依赖关系。众所周知,金属元素的形成与恒星演化有关。超大质量黑洞周围气体盘中极有可能有剧烈的恒星形成与演化,快速制造和抛洒金属元素。大质量恒星演化的结果之一是恒星级黑洞,其质量为数倍乃至于数十倍太阳质量。近年来,引力波天文台LIGO探测到一例涉及一个六十余倍太阳质量与八十余倍太阳质量的恒星级黑洞的并合过程产生的引力波信号GW 190521。该信号与活动星系核(类星体是高度最亮的一类活动星系核)亮度变化成协[1],进一步表明超大质量黑洞的巨型吸积盘或存在大量恒星级黑洞。那么,如何从观测上探究类星体引力发动机周围的恒星级黑洞的分布?在本项研究中,研究人员希望利用微引力透镜观测回答上述问题。

超大质量黑洞的巨型吸积盘内存在着不同种类的天体,包括恒星级黑洞。图片取自Cantiello, et al. 2021。
巨型黑洞气体吸积盘中的“袖珍”黑洞
与超大质量黑洞这样的巨型黑洞相比,恒星级黑洞无疑是“袖珍”黑洞。然而,恒星级黑洞可以由于自身强大的引力,从超大质量黑洞的巨型吸积盘中源源不断地获得“养料”,持续增长质量,释放引力能,产生大量的电磁辐射。所谓成也萧何,败也萧何。由于深陷于巨型吸积盘中,恒星级黑洞吸积产生的电磁辐射无法自由地传播,而是持续不断地与巨型吸积盘中气体发生散射与吸收。因此,恒星级黑洞吸积的最终效果是显著地增加巨型吸积盘的局域温度。设想巨型吸积盘中遍布数以千计恒星级黑洞,造成其数千个小区域气体温度显著升高。这一现象可以类比于年轻恒星表面的热斑(局域高温区域,与太阳黑子正好相反)。这些小的“热斑”主要出现在巨型吸积盘的外区,但仍然太小,无法被现有望远镜直接空间分辨。

与没有恒星级黑洞吸积加热(左)相比,存在恒星级黑洞吸积加热时,超大质量黑洞的巨型吸积盘外区会出现大量偏热的小区域(右)。图取自Zhou et al. 2024。
利用引力作透镜,探究引力发动机
想要分辨超大质量黑洞的巨型吸积盘,也要利用高超的微引力透镜技术。爱因斯坦的引力理论-广义相对论告诉我们,大质量天体将弯曲周围时空,光的传播路径也随之被扭曲。一个著名的例子便是英国天文学家爱丁顿爵士于1919年所做的日全食观测,其中太阳光尽被遮掩,周围恒星得以显露其稍稍偏离的位置。在二十世纪的三十年代,爱因斯坦便意识到,当背景天体与地球观测者的连线上存在前景天体时,前景天体的引力将偏折背景天体发出的电磁辐射,使得该电磁辐射可以沿着不同路径进入望远镜(即类似透镜效果)。因此,背景天体将表现出多个不同的像,乃至于环结构(即所谓爱因斯坦环)。爱因斯坦认为这一效应发生的概率极低,不可能被观测到;但在当时以刷餐厅盘子维持生计的电气工程师Rudi W. Mandl的一再“催促”下,爱因斯坦不情愿地在Science杂志发表题为“Lens-like Action of A Star by the Deviation of Light in the Gravitational Field”的简短论文,指出引力可以起到透镜的作用。四十余年后的1979年,天文学家Walsh, Carswell和Weymann[2]报告了第一个引力透镜结果,是一个遥远的类星体发出的辐射被前景星系的暗物质引力场偏折,产生两个孪生类星体像。随后,Chang和Refsdal指出[3],前景星系中位于地球与类星体某一像连线方向的恒星会对该像产生额外的引力透镜效应,使得该像亮度在年量级上出现变化,该效应被称为微引力透镜效应。微引力透镜为解析超大质量黑洞的巨型吸积盘提供了一种强有力的方法。

引力透镜示意图,取自:NASA, ESA, and D. Player
利用引力作透镜,探究“袖珍”黑洞
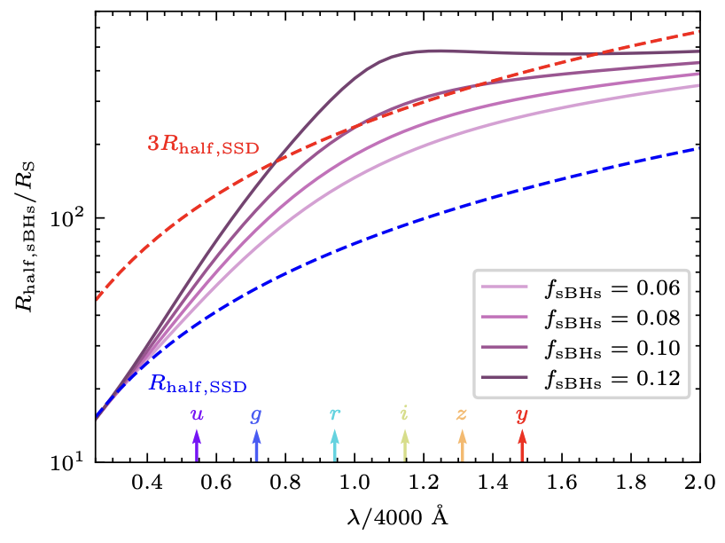
利用微引力透镜,可以探测超大质量黑洞的巨型吸积盘的尺寸。当巨型吸积盘中布满恒星级黑洞时,恒星级黑洞吸积可以显著地增加巨型吸积盘的局域温度,使得这些区域的气体产生更多电磁辐射。换而言之,由于恒星级黑洞的吸积加热,巨型吸积盘的辐射区域尺寸变大。研究人员构建了物理模型,仔细计算了辐射区域尺寸与电磁辐射波长的关系,发现该关系依赖于恒星级黑洞在巨型吸积盘中的分布。不同的恒星级黑洞分布,可以获得显著不同的尺寸-波长关系(见下图)。因此,研究人员第一次指出,可以通过在多波段观测透镜化类星体的微引力透镜效应,测量巨型吸积盘辐射区域尺寸与波长的关系,推测恒星级黑洞的分布。


考虑恒星级黑洞在巨型吸积盘内均匀分布(上图)和被“囚禁”在某一半径处(下图)时,微引力透镜测量的半光半径与波长的关系。可以看出,黑洞分布不同,半光半径-波长关系也不相同。图取自Zhou et al. 2024。
研究论文
该研究工作以“Stellar black holes can "stretch'' supermassive black hole accretion disks”为题发表在国际权威天体物理学术期刊The Astrophysical Journal Letters。研究论文的第一作者为厦门大学天文学系硕士研究生周淑英,通讯作者为厦门大学天文学系孙谋远教授,其他合作者包括厦门大学天文学系刘彤教授、中国科学院高能物理研究所王建民研究员、中国科学技术大学王俊贤教授和薛永泉教授。研究工作得到了国家重点研发计划、国家自然科学基金和福建省自然科学基金的支持。
该研究工作也被世界著名科学刊物《New Scientist》杂志以“Supermassive black holes may provide a nursery for mini ones to grow”为题,加以报道(https://www.newscientist.com/article/2428466-supermassive-black-holes-may-provide-a-nursery-for-mini-ones-to-grow/)。


《New Scientist》杂志报导周淑英同学作为第一作者的相关研究工作。
论文链接:https://iopscience.iop.org/article/10.3847/2041-8213/ad3c3f
参考文献:
1.Graham, M. J., Ford, K. E. S., McKernan, B., et al. 2020, PRL, 124, 251102.
2.Walsh, D., Carswell, R. F., & Weymann, R. J. 1979, Nature, 279, 381
3.Chang, K. & Refsdal, S. 1979, Nature, 282, 561