理解宇宙大尺度结构的起源是宇宙学中的一个重要课题。利用数值模拟和重构方法,我们最新的研究探讨了从宇宙早期(拉格朗日空间)中原初密度扰动到现今形成的宇宙大尺度结构(欧拉空间,红移空间)的复杂映射以及其对角动量重构的影响。
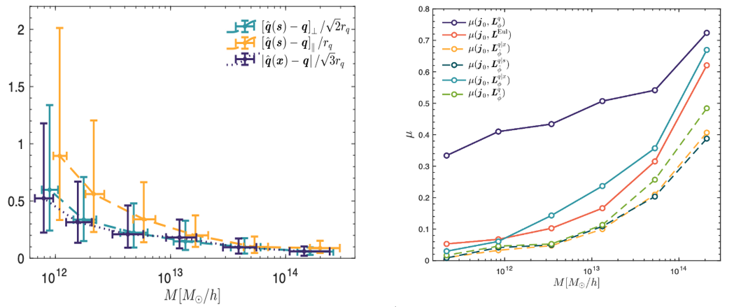
通过基于哈密顿蒙特卡洛(Hamiltonian Markov Chain Monte Carlo)算法的密度场重构方法,我们将低红移宇宙大尺度结构重映射到拉格朗日空间。我们重点研究了将星系和星系团映射到其拉格朗日空间初始坐标的关键步骤,给出了精确重映射宇宙大尺度结构的方法;同时根据潮汐扭矩理论与角动量构建方法,我们准确估算了重构模拟中的暗物质晕(星系群和星系团的代表)的角动量。我们发现大质量的暗物质晕(M≥1013M☉)可以被精确地重映射到其初始坐标 (如下图左,文章中Figure. 2),并且重构模拟中这些暗晕初始的自旋方向仍然被保留到了低红移。角动量重构的误差主要来源于初始密度场的重构不准确 (如下图右,文章中Figure. 4),受到红移空间畸变效应的影响较小,这证明了我们的方法的可靠性,同时我们也指出星系角动量作为另一自由度的物理量来约束初始密度场重构的可能性。

图一.宇宙大尺度结构重映射的相对误差(左),大尺度重构结构的角动量相关性(右)
相关论文Lagrangian Space Remapping and the Angular Momentum Reconstruction from Cosmic Structures 于2024年6月12日被Physical Review D接收,论文的第一作者为厦门大学天文系研究生李思佳,第二作者为厦门大学天文系研究生盛明捷,通讯作者为厦门大学天文系于浩然教授。此工作得到了国家自然科学基金资助。
论文ArXiv链接:https://arxiv.org/abs/2405.04784