研究背景介绍
随机引力波背景是由许多不可分辨的源的引力波信号叠加而成的持续信号,包括天体物理起源和宇宙学起源。下一代的空间引力波探测器DECIGO和BBO(主要探测频率范围为0.1-10 Hz)有望探测到来自不同起源的随机引力波背景,其中包括早期宇宙暴胀阶段产生的随机引力波背景。该背景的探测将推动人们对早期宇宙的研究。然而研究表明,许多天体物理源产生的随机引力波背景有可能会掩盖暴胀引力波背景信号,故研究其前景信号十分重要。在低频波段(0.1-10 Hz),中微子主导的吸积流(NDAF)是重要的引力波源,其产生的引力波背景值得关注。在本工作中,我们基于核心坍缩超新星数值模拟研究了回落吸积下NDAF产生的随机引力波背景。
黑洞超吸积产生的引力波信号
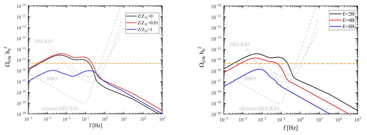
核心坍缩超新星爆发的物质回落过程可能会产生NDAF系统,NDAF辐射的MeV中微子光度很高,其各向异性辐射中微子的过程会触发引力波辐射。对于大质量坍缩星而言,前身星属性和超新星初始爆发能量都会影响NDAF的性质,从而影响其辐射的引力波信号。这导致不同前身星所产生的NDAF的引力波信号存在着明显的差异。在之前的一些研究NDAF随机引力波背景的工作中,普遍采用一些典型的NDAF引力波能谱来计算背景,没有考虑前身星差异带来的影响,这影响了对NDAF随机引力波背景的预测。为此,我们基于核心坍缩超新星数值模拟程序研究了前身星属性和超新星初始爆发能量对NDAF辐射引力波信号的影响。在此基础之上,我们研究了金属丰度和初始爆发能量对NDAF随机引力波背景的影响。
结果(图1)表明,超新星爆发的初始爆发能量和前身星金属丰度会对吸积盘辐射的中微子光度产生显著的影响。如果超新星初始爆发能量普遍较低,NDAF产生的随机引力波背景将有可能被下一代的空间引力波探测器DECIGO和BBO成功探测到。在低频波段(0.001-0.1 Hz),NDAF 随机引力波背景有可能成为搜寻暴胀随机引力波背景的前景之一。在之前的工作中(Wei et al., 2024, ApJ, 966, 101),我们已经研究了NDAF产生的中微子背景,该背景有望被下一代MeV能段中微子探测器(Hyper-Kamiokande、JUNO和DUNE等)探测到。未来对NDAF中微子背景和引力波背景的探测将帮助人们限制核心坍缩超新星和NDAF的性质。

图1:前身星金属丰度和初始爆发能量对NDAF随机引力波背景的影响
该工作已被ApJ接受发表。文章的第一作者是天文学系博士后韦云锋,通讯作者为刘彤教授。此工作得到了国家自然科学基金资助和国家资助博士后研究人员计划的支持。
论文链接:https://arxiv.org/abs/2408.00546