大量研究表明,恒星和致密天体(包括白矮星、中子星和黑洞)可能普遍存在于超大质量黑洞周围的吸积盘中,它们可能直接形成于盘内,也可能源于捕获。在如此复杂的吸积盘环境中的大质量恒星演化最终可能会形成黑洞或中子星等致密天体,并伴随可能触发伽马射线暴等多种电磁爆发事件。由于盘内环境与典型的星际介质或恒星风环境显著不同,活动星系核(AGN)吸积盘中产生的伽马暴在观测性质上也会呈现出独特特征。
AGN 盘内伽马暴的观测表现主要由相对论喷流的传播过程所决定。对于喷流能够成功突破吸积盘的情况,喷流物质随后可以自由向外传播,其辐射特性与普通伽马暴相似,观测者能够看到典型的瞬时辐射与余辉辐射。相反,如果喷流被盘气体窒塞,其辐射将受到强烈吸收与散射而被显著抑制。鉴于吸积盘的尺度和密度结构,大多数伽马暴喷流预计会在盘内被窒塞,因此之前许多工作专注于这种情形下的可观测信号。
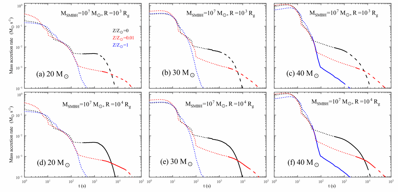
然而,在大质量坍缩星框架下,前身星的质量与金属丰度会显著影响喷流的持续时间和光度。对于低金属丰度的大质量前身星,其通常保留较厚的氢包层,包层回落吸积到中心新生黑洞上可以有效延长伽马暴中心引擎的活动时间,从而提高喷流突破 AGN 吸积盘的可能性。本工作重点研究这些成功突破吸积盘的喷流及其产生的辐射特征。

图1:中心黑洞的吸积率随时间的演化曲线。点线、实线和虚线分别代表喷流在前身星包层中传播,AGN盘内传播和喷流突破吸积盘后的情况。
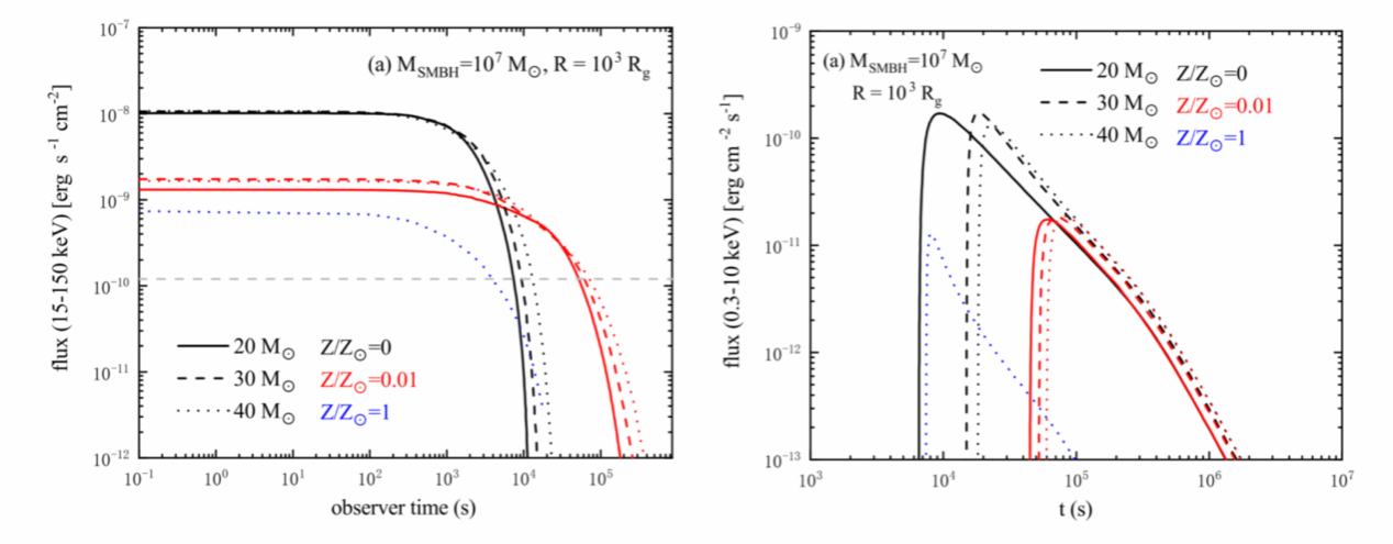
我们研究了前身星质量和金属丰度对伽马暴喷流在AGN盘内传播的影响。图1 展示了喷流在盘内传播的情况。对于那些可以成功突破的喷流,我们进一步计算了相应的瞬时辐射和余辉辐射,同时还考虑了AGN中心超大黑洞质量和爆发所处位置对辐射信号的影响。图2展示了突破的喷流产生的瞬时辐射和余辉。我们的结果表明,对于红移1以内的AGN,这些成功突破的喷流所产生的信号有可能被Swift卫星和天关卫星所探测。未来成功的探测将帮助人们限制AGN吸积盘和盘内恒星的结构和演化历史。

图2:AGN盘内伽马暴的瞬时辐射光变(左)和余辉辐射光变(右)。
本研究工作以“Hyperaccretion-driven relativistic jets from massive collapsars in active galactic nucleus disks”为题,被The Astrophysical Journal接受发表。论文第一作者为宁波大学的韦云锋副教授,通讯作者为厦门大学刘彤教授,合作者为南宁学院黄保全博士。该工作得到国家自然科学基金等支持。
论文链接:https://arxiv.org/abs/2511.15056v1