伽马射线暴(gamma-ray burst, GRB)是宇宙中最为剧烈的高能爆发现象,其中心引擎通常被认为是黑洞超吸积系统。不同前身星(如大质量恒星坍缩或致密天体并合)的物理性质存在显著差异,这种差异必然体现在吸积物质物态和组分上。
在本研究中,我们基于中微子主导吸积流(NDAF)模型,系统计算了无外流和有外流情况下,重点考察了吸积率、黑洞自旋和盘外流率(及分布)对吸积盘的结构及电子丰度分布的影响,分析了吸积盘在不同物理条件下的冷却机制及成分演化特征。
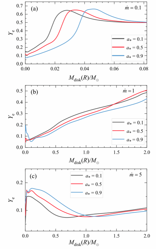
对于大质量恒星坍缩,吸积盘物质供给质量较高,吸积率稍低且初始吸积物质电子丰度应接近0.5,而对于致密天体并合,吸积盘供给质量偏低,吸积率稍高且初始吸积物质电子丰度应在0.2以下。通过求解无外流NDAF模型,可以获取电子丰度随半径的分布(如图 1 所示)。研究结果表明,(1)在较低吸积率条件下,吸积盘外区电子丰度接近 0.5,处于相对富质子的状态;而在极高吸积率条件下,即使盘质量较高,盘外区仍趋于富中子的状态。(2)更为重要的是,对应前身星属性下截取盘质量,容易发现,吸积率稍小且盘质量较大的情形下,吸积盘外边界电子丰度与大质量恒星坍缩对应;而吸积率较大且盘质量较小的情况下,外边界电子丰度与致密天体并合一致。这一结论体现了NDAF与其前身星在电子丰度、吸积率和盘质量上具备内禀一致性。我们还对含外流的情形进行了细致讨论,与无外流情况基本一致,同时,黑洞自旋及外流分布对电子丰度分布的影响较弱。以上结论为NDAF作为GRB中心引擎提供了直接的理论证据。

图 1 无外流NDAF电子丰度随半径(或盘质量)的分布
该论文以“Inherent self-consistency of the electron fraction between neutrino-dominated accretion flows and their progenitors”为题,被ApJ接受发表。论文第一作者为厦门大学天文学系硕士研究生崔瑞琦,通讯作者为刘彤教授。
论文链接:http://arxiv.org/abs/2603.26163