核子有效质量m*及其对密度n和温度T的依赖性m*(n,T)是研究中子星(neutron star)热演化性质(如热导率、比热和中微子反应率)的重要微观输入,对于研究新生中子星(protoneutron star)、铁核塌陷超新星爆发(core collapse supernova)、双中子星并合(binary neutron star merger)、黑洞吸积盘(black-hole accretion disk)、重离子碰撞(heavy-ion collision)等有关键作用。
长久以来,核介质中的单粒子性质很难精确计算,文献中大部分平均场级别的量子多体模型对此难题无能为力。我们和意大利的合作者基于微观方法 [有限温度Brueckner-Hartree-Fock(BHF)多体方法],结合Argonne国家实验室的的Argonne V18现实核力(以及微观三体力TBF),系统研究中子/质子的有效质量随温度和质子分数的变化,并将计算结果拟合为解析公式,便于广泛应用于上述多种动力学问题的研究。本文中基于beta弱过程稳定物质中的计算结果,简要讨论了m*(n,T)的温度依赖对中子星冷却的影响:微观BHF方法预测Urca过程的阈值密度相对较低(零温T=0时为0.38/fm^3),所以大部分中子星应会通过直接Urca过程快速冷却,而有限温度会增加质子分数,进一步降低这一阈值密度。
该工作发表于Physical Review C(预印本链接:https://arxiv.org/abs/2001.03859),受到了国家自然科学基金、中国科学院青年创新促进会、欧盟科技合作计划(COST)“中子星的多信使物理学和天体物理学”项目的支持。
(Dana Berry/NASA/Wikimedia Commons)
Nucleon effective mass in hot dense matter, Phys. Rev. C 101, 065801 (2020)
作者:X. L. Shang(中科院近物所), A. Li(通讯作者,厦大), Z. Q. Miao(厦大), G. F. Burgio(卡塔尼亚大学), H.-J. Schulze(卡塔尼亚大学)


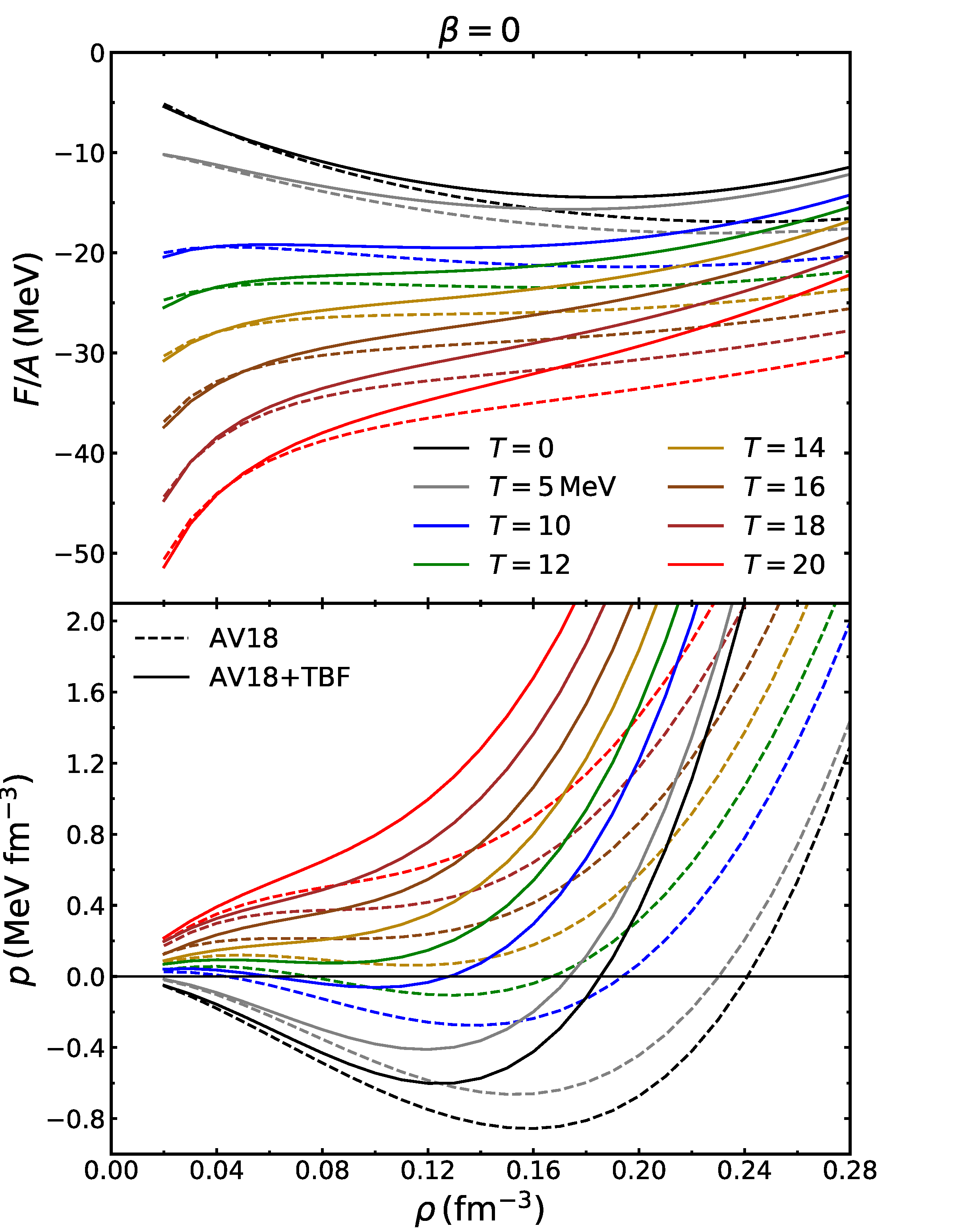
左:对称核物质中,不同温度下单核子自由能(上图)和压强(下图)对密度的依赖,实线和虚线曲线分别是包括或不包括三体核力的结果。
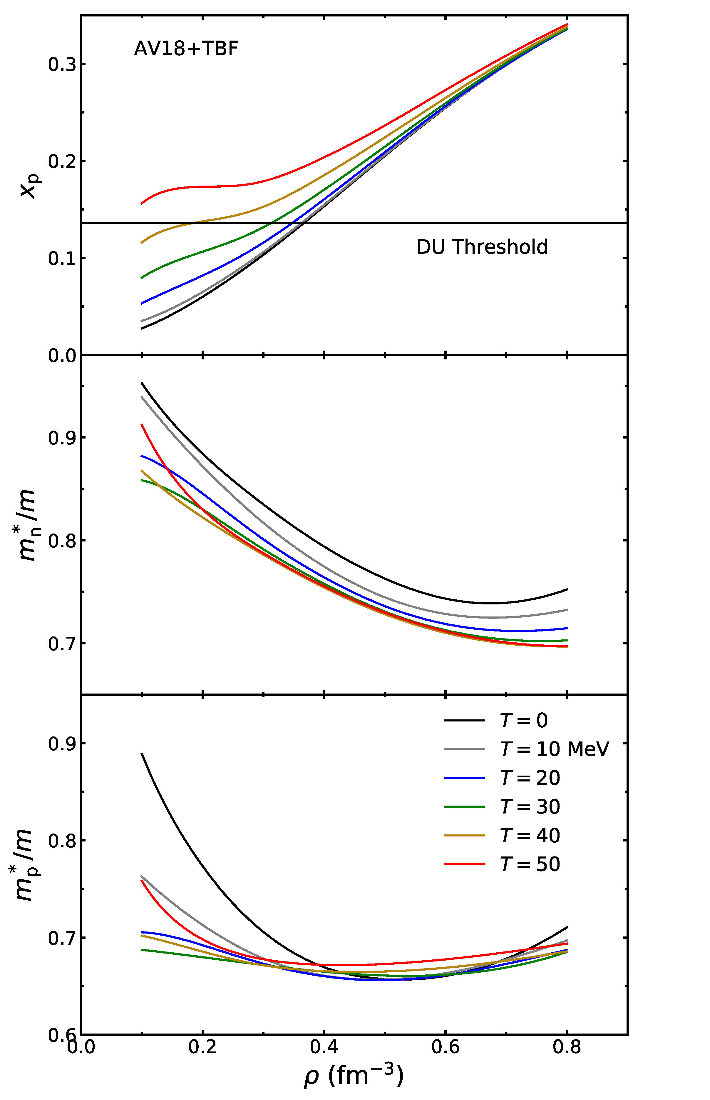
右:beta稳定中子星物质中,不同温度下质子分数(上图)和中子/质子有效质量(中图和下图)随密度的依赖。水平线表示直接Urca中微子发射过程的阈值质子分数。
关于中子星冷却Urca过程的补充:
The direct Urca process was named by physicists George Gamow and Mário Schenberg during a visit to Rio de Janeiro’s former Urca casino. Schenberg is reported to have said that "the energy disappears in the nucleus of the supernova as quickly as the money disappeared at that roulette table."
The Urca process is described by Oxford Reference as “a cycle of nuclear reactions in which an electron is absorbed by a nucleus and is subsequently re-emitted as a beta particle (a fast electron) with the generation of a neutrino–antineutrino pair. The process makes no change to the composition of the nucleus, but removes energy from it in the form of the neutrino and antineutrino.”
see more in, https://interestingengineering.com/rapidly-cooling-neutron-stars-remove-heat-by-shedding-neutrinos