摘要:我们研究了利用LAMOST巡天望远镜(郭守敬望远镜)来寻找由恒星级黑洞和非致密、可见的伴星组成的双星系统(以下简称黑洞双星)。我们模拟了银河系黑洞双星的星族,并通过星族合成模型和双星的轨道参数分布来确定其光学可见度。综合考虑了黑洞双星的可探测性与LAMOST的探测灵敏度,我们预测通过低分辨率、非时域巡天可以找到400个以上的黑洞双星候选体,而通过正在进行的LAMOST中分辨率、时域巡天可以找到约50-350个黑洞双星候选体。大多数候选体都是短周期(0.2-2天)、伴星为M,K,G或F型的恒星,其中~47%的候选体的质量函数(致密天体的质量下限)超过3个太阳质量。通过结合LAMOST光谱数据与其他测光/光谱巡天数据,或后续跟踪观测数据,这些候选体可以得到证认。因此,通过探索LAMOST数据,我们可以扩大动力学证认的黑洞双星样本,从而增进我们对黑洞的质量分布问题和恒星演化模型的理解。
论文作者:伊团、孙谋远、顾为民
期刊:该论文已被Astrophysical Journal接受发表。
论文链接。

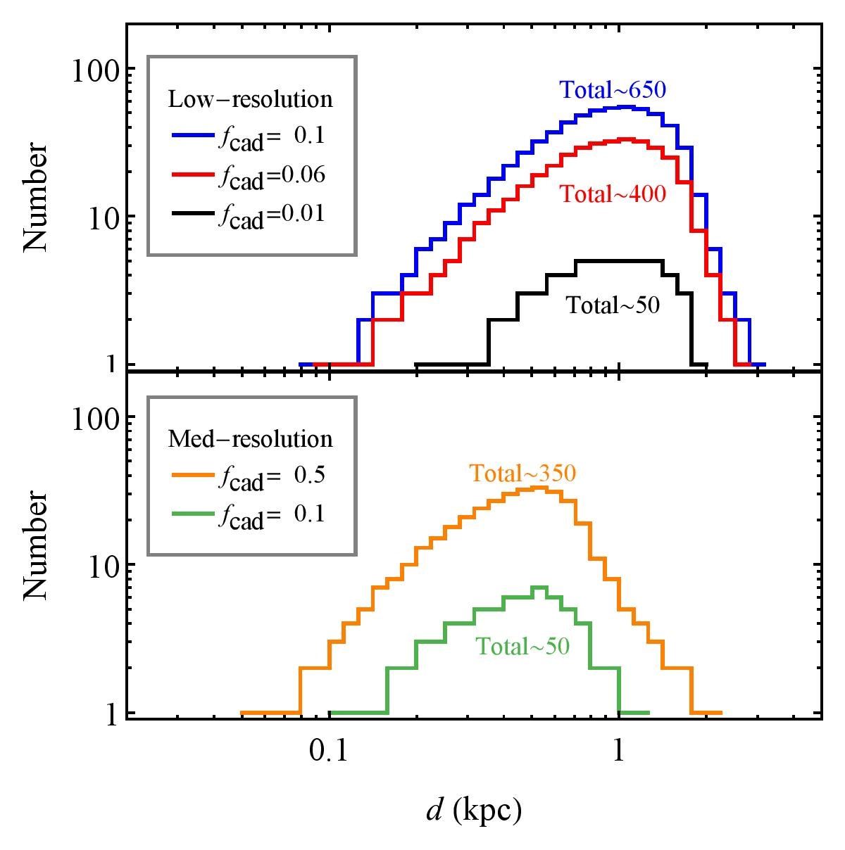
图注:LAMOST可探测黑洞双星候选体的数目随探测距离的分布函数。
上图:对低分辨率、非时域巡天的预测;下图:对中分辨率、时域巡天的预测。
(其中参数fcad是望远镜的重复观测覆盖率)