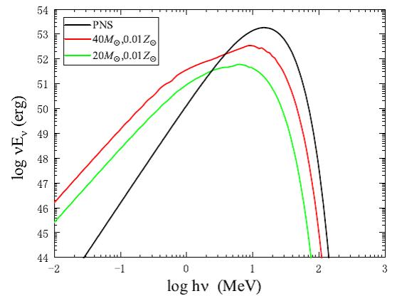
围绕在恒星级质量黑洞外的中微子主导的吸积流(NDAF),是伽玛射线暴的中心引擎候选者之一。这样的黑洞超吸积系统有可能在大质量塌缩星的中心形成。在吸积过程起始的几百秒时间内,前身星的物质供给率一般大于NDAF所需要的点火吸积率,即有可能形成NDAFs。尽管中心黑洞吸积触发的喷流仍未突破包层,形成可见的伽玛暴,NDAF产生的大量中微子已可以从塌缩星的内部发射出来。在该工作中,我们研究了不同的前身星质量和金属丰度对NDAFs发射的电子中微子时间积分能谱的影响。根据计算结果我们发现,能谱的峰值主要出现在10-20MeV之间。前身星的质量对中微子能谱影响不大,而低的前身星金属丰度有利于增加相对低能量的中微子(< 1 MeV)的发射。 同时,我们研究了NDAFs发射的电子中微子与新生中子星(PNS)发射的电子中微子的时间积分能谱之间的差异,见下图。未来更加强大的中微子探测器有可能帮助我们区分大质量恒星塌缩的最终产物究竟是黑洞还是中子星。
论文已被ApJ接受。论文第一作者是一年级博士生韦云锋,通讯作者为刘彤教授,合作者还有博士生宋翠英。
论文链接:https://arxiv.org/abs/1905.04850



