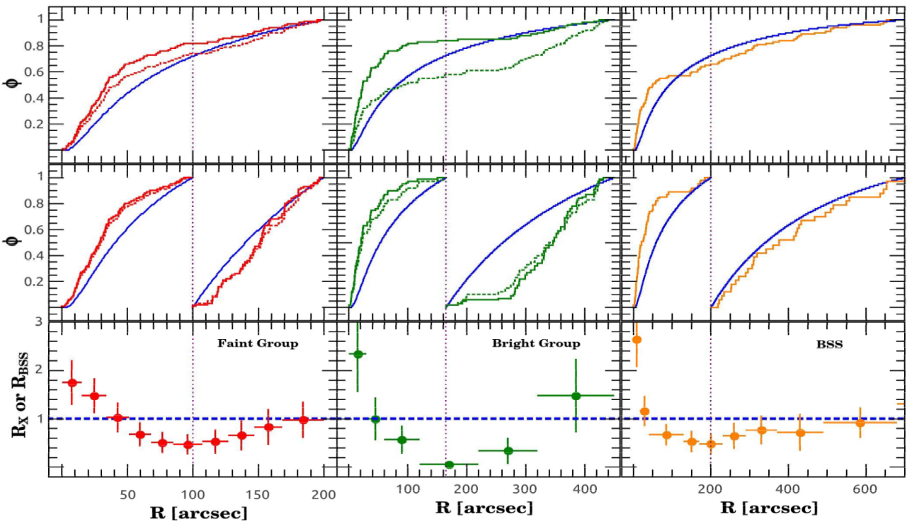
球状星团是宇宙中年老的动力学驰豫系统。在星团的演化过程中,恒星间频繁的相互作用将造成不同质量天体之间的动能均分,这会让大质量的天体沉淀到星团的中心,而较小质量的天体外移或逃逸,形成质量演化分层(Mass Segregation)现象。然而,球状星团中恒星的演化时标(即两体驰豫时标 T_relax) 与恒星的数密度和质量反相关,在星团中心 T_relax 要远小于它的绝对年龄,而在星团外围 T_relax 可以远大于宇宙年龄,这将造成丰富的可观测现象。利用钱德拉X射线太空望远镜的观测数据,我们对杜鹃47号球状星团(47 Tucanae)中的X射线点源作了全面深入的搜寻,并从中探测到537个点源。通过比较X射线点源和蓝离散星在星团中的径向分布,我们发现不同质量的天体在47 Tucanae中的分布存在着明显的差异:蓝离散星与X射线点源都在星团中心区域高度聚集,但在某一半径处存在一个分布低谷,这表明不同星团半径处的天体在沉淀到星团中心的过程中有着明显的延迟。此外,蓝离散星与X射线点源径向分布低谷的宽度和到星团中心的距离还与天体的平均质量反相关,这直接验证了两体驰豫过程与星团质量演化分层的紧密联系。我们的研究结果将为数值模拟球状星团的动力学演化提供强有力的观测限制。
此文章已被ApJ接收发表
作者:成忠群,李志远,李向东,徐晓杰,方陶陶
文章链接

