作者:马任意,Shawn R. Roberts,李亚平,Q. Daniel Wang
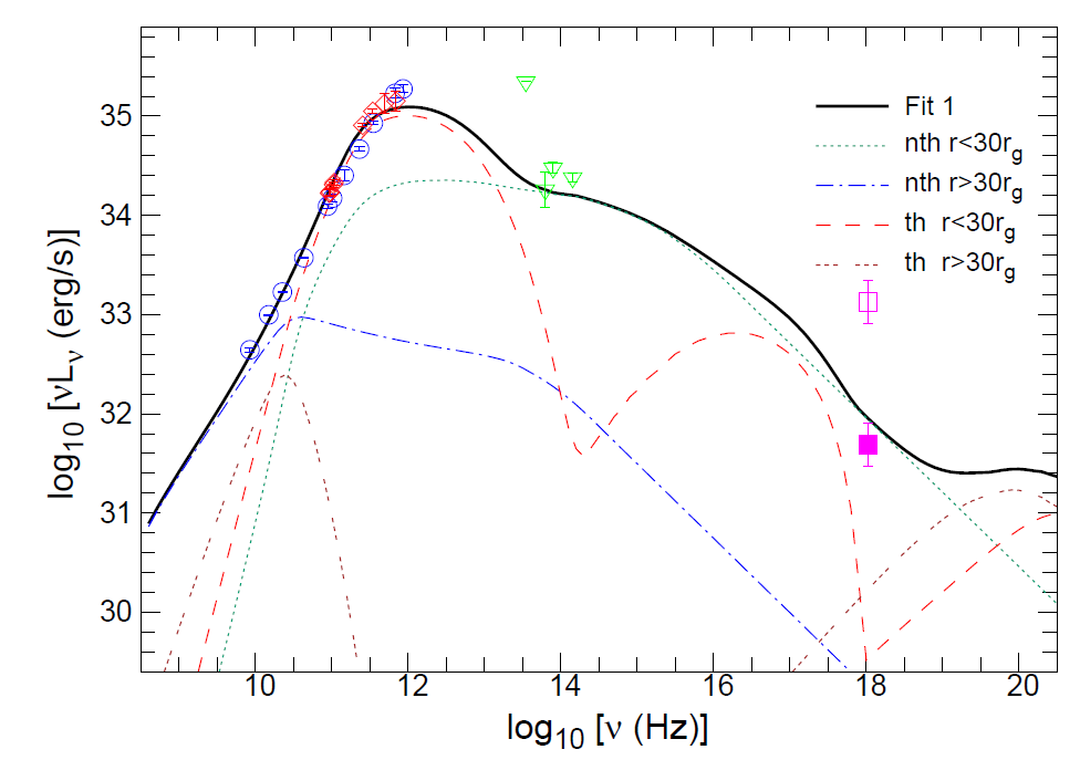
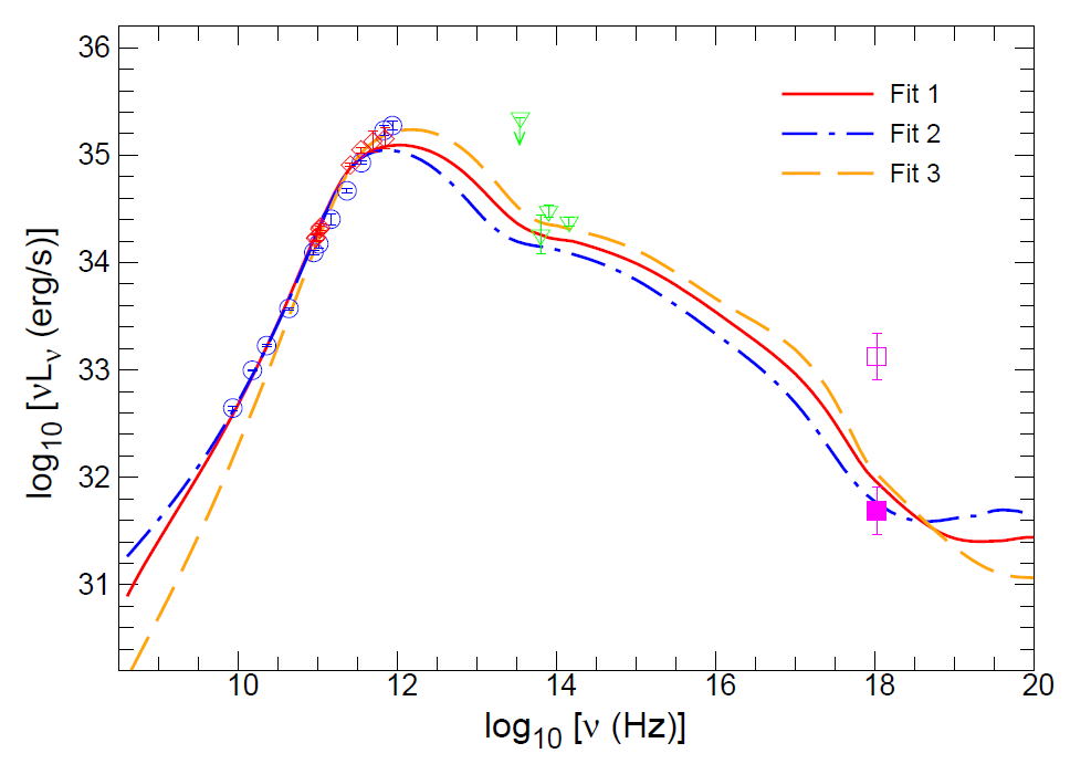
作为离地球最近的超大质量黑洞,Sgr A*对人们研究宁静态超大质量黑洞的吸积过程至关重要。根据最新的X射线观测,人们对吸积流内区(半径小于1000个引力半径)的X射线辐射做出比较严格的限定。在此基础上,我们首次对内区的多波段光谱进行拟合。相比以前的理论工作,我们采用了MCMC法进行拟合,进而能对吸积流的参数进行限定。基于不同方面的考虑,我们进行了多次拟合,发现拟合得到的参数值有很大不同。如果只对亚毫米/红外波段的数据进行拟合,外流指数大约为0,如果对多波段数据一起拟合,外流指数会是0.37甚至更大。而从理论上估计,假定外流指数在不同半径处保持不变,由于Sgr A*辐射的能量集中于亚毫米/红外波段,不同拟合得到的外流指数值应该基本一致。这一矛盾说明外流指数与半径有关,且在几十个引力半径内的最内区外流很弱。最内区外流很弱,这个结果不仅与数值模拟的结果一致,还能更好地拟合多波段光谱。
文章已被MNRAS接受发表
链接:https://arxiv.org/abs/1811.02190


