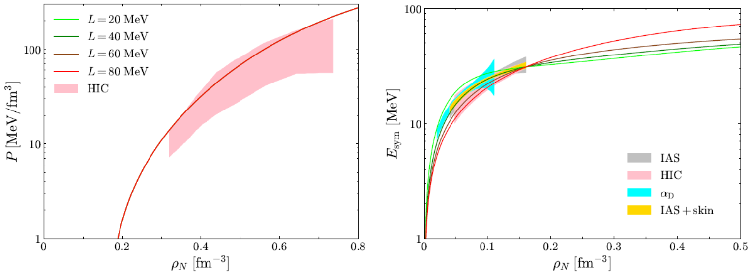
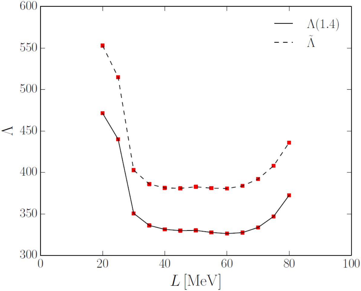
GW170817引力波事件不仅开启了多信使天文学的时代,也与致密物态相关的核物理和粒子物理研究密切相关。基于其引力波信号对并合致密系统的潮汐形变观测,给出独立于地面核实验和脉冲星观测对致密物质状态方程的新限制。基于此,我们从夸克层次出发,运用夸克平均场模型提出了一个新的中子星状态方程(equation of state, EOS)模型——QMF18。该EOS模型参数由核物质经验饱和点性质给出,不仅满足各种核实验(IAS,alpha_D,IAS+skin)及重离子碰撞实验(heavy-ion collisions, HIC)限制,还能符合两倍太阳质量及最新的GW170817潮汐形变限制;同时,我们基于夸克平均场模型研究了饱和点处的对称能斜率(L)和潮汐形变(Λ)的关联,发现两者并没有文献中讨论的单调依赖,所以由引力波Λ观测对星体半径等性质做出限制时需要自洽地考虑星体壳层的性质。
Zhen-Yu Zhu, En-Ping Zhou and Ang Li*
Neutron star equation of state from the quark level in the light of GW170817
1802.05510 ApJ 862,98 (2018)

