
图:理论的BZ机制所提供的辐射光度和持续时间与X射线耀发的观测数据的对比
作者:穆慧君、顾为民、侯书进、刘彤、林达斌、伊团、梁恩维和卢炬甫
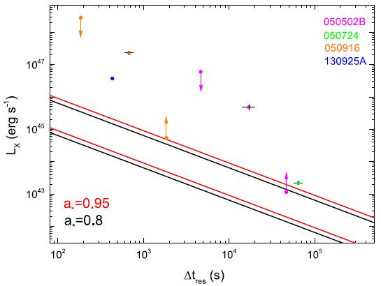
该工作选取了7个极晚期的X射线耀发作为研究样本,其中有两个可以确认是中心引擎的晚期活动所产生的。 本文的主要目的是在内激波起源的框架下研究这些极晚期X射线耀发的中心引擎。在黑洞超吸积的机制中,我们考虑了 两种熟知的机制来作为这些X射线耀发的中心引擎,即中微子湮灭机制和BZ机制。我们的结果表明中微子 湮灭光度要远低于观测数据,因此湮灭机制不能解释这些极晚期的耀发。对于BZ过程,如果考虑外流的影响, 进入黑洞的吸积率会远低于外边界处所提供的吸积率,因此相应的磁场所对应BZ机制功率也不足以解释 观测到的X射线耀发的光度及时标(参见附图)。因此,我们认为对于这些内激波起源的极晚期耀发, 其中心引擎很难用黑洞系统来解释。另一方面,一个强磁场、快速旋转的中子星系统则有可能解释这类X射线耀发。