
Wei-Min Gu (2015, ApJ, 799, 71)
adsabs.harvard.edu/abs/2015ApJ...799…71G
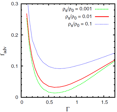
Based on the no-outflow assumption, we investigate steady-state, axisymmetric, optically thin accretion flows in spherical coordinates. By comparing the vertically integrated advective cooling rate with the viscous heating rate, we find that the former is generally less than 30% of the latter, which indicates that the advective cooling itself cannot balance the viscous heating. As a consequence, for radiatively inefficient flows with low accretion rates such as Mdot<=1e-3*Mdot_Edd, where Mdot_Edd is the Eddington accretion rate, the viscous heating rate will be larger than the sum of the advective cooling rate and the radiative cooling one. Thus, no thermal equilibrium can be established