
Tong Liu, Xiao-Fei Yu, Wei-Min Gu, and Ju-Fu Lu (accepted by ApJ)
http://arxiv.org/abs/1407.0790
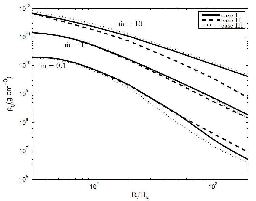
We present the effects of the self-gravity on the vertical structure and neutrino luminosity of the neutrino-dominated accretion disks in cylindrical coordinates. It is found that significant changes of the structure appear in the outer region of the disk, especially for high accretion rates (e.g., $\ga 1 M_\odot~\rm s^{-1}$), and thus causes the slight increase of the neutrino luminosity. Furthermore, the gravitational instability of the disk is reviewed by the vertical distribution of the Toomre parameter (Toomre 1964), which may account for the late-time flares in gamma-ray bursts and the extended emission in short-duration gamma-ray bursts.