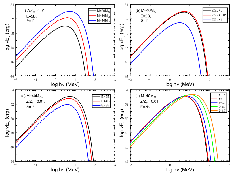
物质回落在核心坍缩超新星爆发过程中扮演着重要的角色。大质量恒星塌缩的最终产物的属性、核合成过程和一些可能的动力学过程都与物质回落有着密切联系。当物质回落较强(亦即爆发能量较弱)时,核心坍缩超新星内部可能会形成黑洞超吸积系统。当吸积率极高时(在初期回落吸积过程中),超吸积处于中微子主导的吸积流(NDAF)的状态,故而释放大量中微子,并伴随引力波辐射。在本工作中,我们独立研发并进行一维核心坍缩超新星数值模拟来研究物质回落过程,主要研究了初始爆炸能量、前身星质量和金属丰度对物质回落的影响。在考虑了中心黑洞质量和自旋在回落吸积下的演化后,我们计算了不同回落过程对应的NDAF产生的各向异性的中微子辐射和引力波信号。对于距离较近(至少在本星系群内)的源,这些MeV中微子和引力波信号有可能被已有的或者将来的探测器所探测。多信使观测结合电磁信号,将会帮助我们更好地去理解和限制核心坍缩超新星和前身星的性质。
该论文已被MNRAS接受发表,第一作者为在读博士研究生韦云锋,通讯作者为刘彤教授,合作者是薛力副教授。此项工作得到了国家自然科学优秀青年科学基金、中国空间站望远镜项目和福建省基金资助。
文章链接:https://arxiv.org/abs/2107.11087

图1:不同前身星质量、金属丰度、初始爆炸能量和视角对应的NDAF的中微子时间积分能谱

图2:不同前身星质量,金属丰度,初始爆炸能量对应的NDAF的引力波信号