高红移明亮的活动星系核(AGN),即类星体,一般具有高亮度金属发射线,这为研究早期宇宙的化学演化提供了探针。对类星体的观测显示,多数宽线区(BLR)的金属丰度是远超太阳金属丰度且几乎不随红移演化,这表明在宇宙第一个Gyr是快速的恒星形成演化和金属累积的时期。一般认为,BLR气体来源于AGN吸积盘持续提供的热扩散气体,因此AGN盘中的金属丰度可能决定了BLR中的金属丰度。AGN中形成的恒星因发生超新星(SN)爆炸而向外抛洒金属并在其中心留下一些恒星级残余物。作为塌缩星(≥25 M⊙)中心残余物的中微子主导吸积流(NDAF),其外流中的自由核子也会参与核合成从而向周围环境注入金属元素。
我们模拟了高红移类星体的化学演化。在传统的核心坍缩超新星(CCSN)的基础上增加了一个新的成分,即含外流的NDAF。其可能为化学演化提供重要贡献,原因在于:(1)如果前身星质量在25-55 M⊙之间,在考虑NDAF外流核合成贡献的情况下,总的金属产量(即CCSN和NDAF的贡献总和)几乎不依赖于前身星的质量;(2)AGN盘内,仅有大质量恒星能够在1Gyr内发生CCSN爆发并形成黑洞NDAF系统,产生各类金属元素。
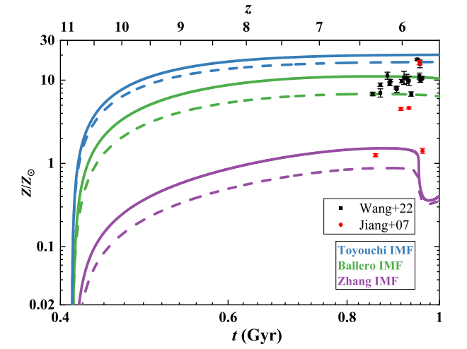
在考虑三种典型的初始质量函数(IMF)下,我们采用一个改进的open-box模型来为高红移类星体的化学演化过程建模。我们发现,由于含外流NDAF的额外核合成贡献,类星体的金属在宇宙早期(z∼10)可以更迅速地富集,并在z∼8时达到更高的饱和值,其后不再随着红移演化。在Toyouchi et al.(2022)的 top-heavy IMF下,类星体的金属丰度在红移z∼8时可以达到20 Z⊙(Z⊙表示太阳的金属丰度),这很好的解释了关于超太阳金属丰度和不随红移演化的类星体观测(见图1)。需要说明的是,AGN盘内IMF仍然未知,但非常容易推测,大质量恒星越多则BLR金属丰度越高,其中NDAF的贡献越显著。
该论文以“Nucleosynthesis Contribution of Neutrino-dominated Accretion Flows to the Chemical Evolution of Active Galactic Nuclei”为题,已被ApJ接受发表。作者包括厦门大学天文学系博士生齐艳青、刘彤教授、孙谋远副教授和中国科学技术大学天文学系蔡振翼副教授。此工作得到了国家自然科学基金和中国空间站项目资助。
论文链接:https://arxiv.org/abs/2206.08613

图1 在三个典型初始质量函数(三种颜色)下,有(实线)无(虚线)NDAF外流核合成贡献的高红移类星体的金属演化,黑点和红点为高红移类星体观测。
课题组在黑洞超吸积外流及其核合成方面的部分代表性工作:
(1)光学厚盘(含中微子主导吸积流)的外流起源机制
https://iopscience.iop.org/article/10.1086/527670
(2)大质量中子星与恒星级黑洞并合后黑洞超吸积径向外流解释短暴延展辐射
https://iopscience.iop.org/article/10.1088/0004-637X/760/1/63
(3)中微子主导吸积流垂向结构及外流起源
https://link.springer.com/article/10.1007/s10509-011-0887-3
https://iopscience.iop.org/article/10.1088/0004-637X/791/1/69
(4)中微子主导吸积流的垂向物质组分
https://iopscience.iop.org/article/10.1088/0004-637X/762/2/102
(5)中微子主导吸积流核合成
https://iopscience.iop.org/article/10.1088/0067-0049/207/2/23
https://academic.oup.com/mnras/article-abstract/494/3/3962/5817855?redirectedFrom=fulltext
https://academic.oup.com/mnras/article-abstract/513/3/3960/6575040?redirectedFrom=fulltext
(6)黑洞超吸积内流外流模型及对超新星和千新星起源的解释
https://iopscience.iop.org/article/10.3847/1538-4357/aa9e4f
https://iopscience.iop.org/article/10.3847/1538-4357/aaf6ae
https://academic.oup.com/mnras/article/477/2/2173/4953431
https://www.sciencedirect.com/science/article/pii/S2214404819300011?via%3Dihub
https://iopscience.iop.org/article/10.3847/1538-4357/ac3757
(7)核心坍缩超新星中心黑洞超吸积外流核合成对星系及大尺度结构的贡献
https://iopscience.iop.org/article/10.3847/1538-4357/ac1428
https://arxiv.org/abs/2206.08613
(8)相关综述
https://www.sciencedirect.com/science/article/pii/S1387647316300756?via%3Dihub
https://www.sciengine.com/SSPMA/article;JSESSIONID=839c9e88-4a5d-4ad9-9ab8-217c0e3f5477?doi=10.1360/SSPMA-2020-0437&scroll=