研究背景介绍
中子星的多信使、多波段联合观测有望为理解其内部结构及极端密度、极端同位旋不对称条件下的物态提供更强约束。然而,此类观测所涉及的不同天体物理过程往往源于星体内部的不同区域。因此,在联合多信使数据开展物态约束时,必须基于相同的核相互作用与多体理论,构建覆盖整个星体、自洽统一的微观物态方程,即“中子星统一物态”。近日,厦门大学李昂教授团队成功实现了对中子星静态结构与动态演化行为的自洽描述。该项研究成果以"Unified quark mean-field equation of state for neutron star matter: Static and dynamic properties"为题,发表于物理学一流期刊《物理评论D》(Physical Review D 112, 043018 (2025))。
研究结果
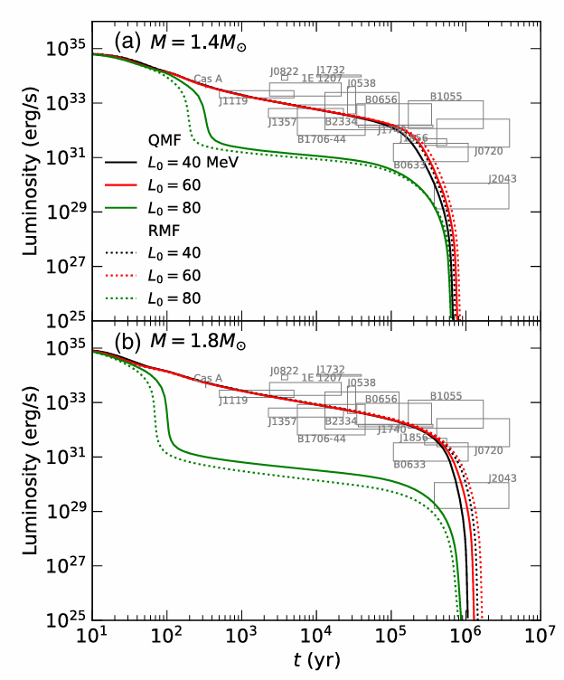
本研究在夸克平均场(QMF)理论框架内构建了统一状态方程,自洽对中子星不同深度区域的物质状态进行描述。研究团队通过系统调节核物质对称能斜率参数(L₀),生成了一系列统一状态方程,并深入研究了它们对中子星静态性质(如质量-半径关系)、热演化行为(如冷却曲线)和动态稳定性(如r模不稳定性)的影响。模型成功再现了X射线暂现源KS 1731-260的冷却观测数据,实现了对r模不稳定性窗口的精确计算,为理解脉冲星周期跃变以及未来探测连续引力波源提供了关键依据。研究提供的统一状态方程和粘滞系数公式,将成为解读将来观测设备数据的重要理论工具。

图 两个不同质量孤立中子星冷却曲线对核多体模型和对称能斜率的依赖。
该项工作由天文学系涂中豪博士后(第一作者)、孙向东、韩烁冲、上海交通大学李政道研究所缪志强博士后以及李昂教授(通讯作者)合作完成。研究获得了科技部SKA专项和国家自然科学基金和中国博士后科学基金的支持。
论文信息:
Zhonghao Tu, Xiangdong Sun, Shuochong Han, Zhiqiang Miao, Ang Li. Unified quark mean-field equation of state for neutron star matter: Static and dynamic properties. Phys. Rev. D 112, 043018 (2025).
预印本链接:https://arxiv.org/abs/2505.14755
厦门大学核天体物理组致力于中子星EOS研究,欢迎关注https://mp.weixin.qq.com/mp/appmsgalbum?__biz=MzU4ODM2NjQ5Ng==&action=getalbum&album_id=2454854141660528642#wechat_redirect了解更多近期相关研究工作(公众号:Nucl_Astrophys_xmu)!