题目:Tidal deformability and gravitational-wave phase evolution of magnetised compact-star binaries
作者:Zhenyu Zhu (XMU/ITP, Frankfurt;通讯作者), Ang Li (XMU), L. Rezzolla (ITP, Frankfurt),
链接:https://arxiv.org/abs/2005.02677;Phys. Rev. D 102, 084058 (2020)
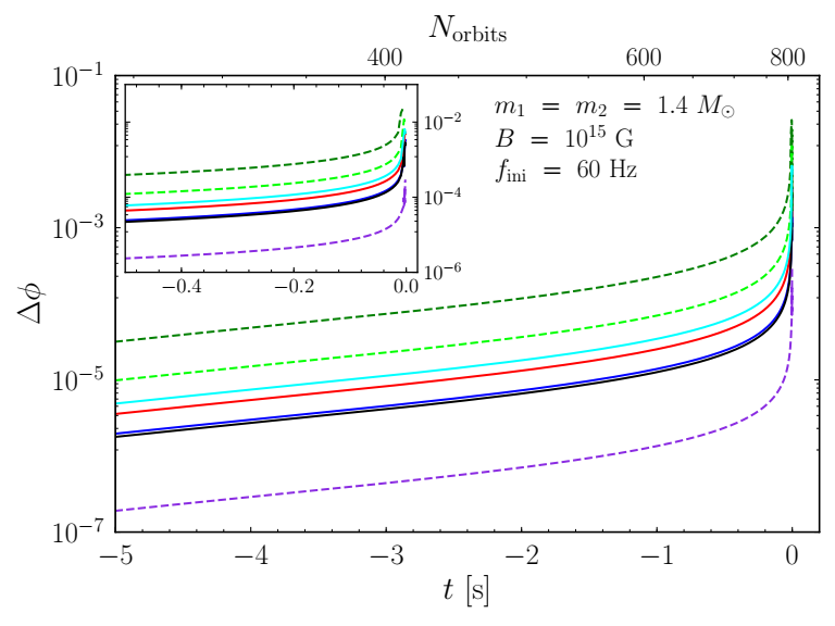
双中子星系统在旋近过程中通过引力波辐射能量,在该过程中,潮汐形变作为一个重要物理量,影响着引力波的频率和相位演化。潮汐形变的主导项——四极矩偶宇称的潮汐形变在引力波相演化中占据主导作用。然后,其他潮汐形变的高阶项,如奇宇称潮汐形变,转动潮汐形变等,同样有这一部分对引力波的贡献。同时未来的第三代引力波探测器因为其高精度使得观测这些高阶效应成为可能。该工作研究了其中之一的潮汐形变高阶效应——磁场-潮汐的耦合效应。因为中子星通常都带有极强的磁场,有一些的磁场强度甚至能达到B=10^15高斯,因而被称为磁星。如此强的磁场对引力波的辐射是否会产生足够大的影响正是该工作讨论的话题。
计算表明,即便是磁星,磁场最终对引力波的相演化的贡献依旧很小。同时我们发现该影响依赖于不同星体的状态方程,夸克星的结果要显著强于中子星的。然而即便最终的引力波相移很小,在一些特定的理想化的条件下,其相位差依旧能被第三代引力波探测器观测到,并有可能为夸克星的假说提供观测证据。
