时至今日,我们对暗物质的本质仍然知之甚少。当前,一种主流的暗物质模型是弱相互作用的大质量粒子。这种暗物质粒子可以通过湮灭的方式产生标准模型的粒子,如中微子,光子,正负电子等。其中暗物质湮灭电子又可以通过同步辐射产生射电波段的辐射,所以一般情况下可以通过射电信号来间接的探测暗物质。然而这种信号是相当弱的,而且探测的范围被限制在近邻星系。如果想要暗物质湮灭电子能够产生更强更显著的辐射,那就必须要有一个强大的“加速器”,在暗物质密度高的环境下把暗物质湮灭电子加速到更高的能段,而靠近大质量星系中心的伽玛暴喷流可能是一个理想的“加速器”。
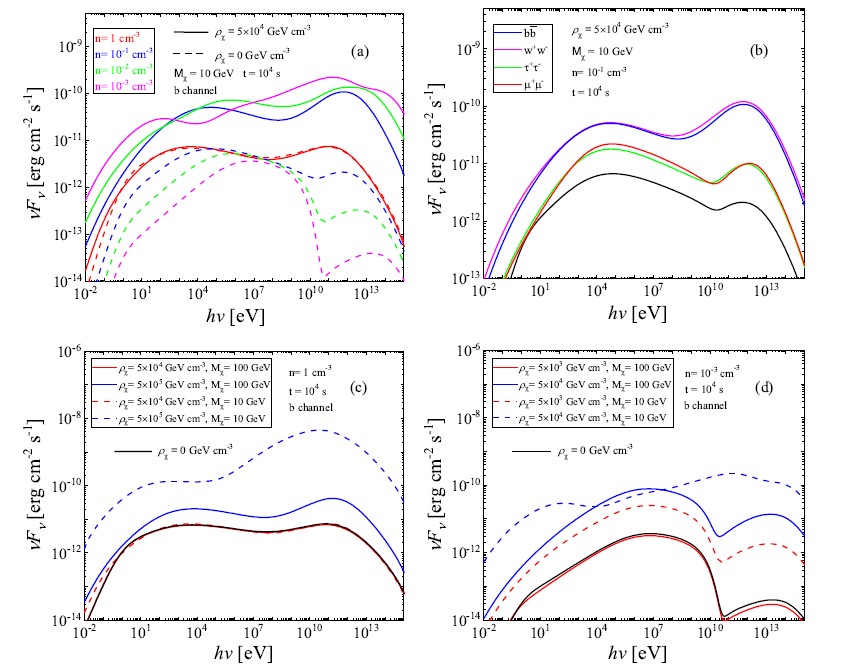
我们主要研究暗物质湮灭电子在余辉外激波中的加速机制和辐射机制以及预测和分析暗物质湮灭电子对伽玛暴余辉光变和能谱的贡献。我们得到的结果是:在一个星际电子密度低且暗物质密度高的环境下,暗物质湮灭电子的贡献能够很好地体现在伽玛暴的余辉上,如图1所示。同时根据在不同暗物质密度轮廓下的估算,发生伽玛暴的位置可能在距离大质量星系中心几个秒差距到几十个秒差距的范围内。
该论文已被ApJ接受,第一作者为在读博士生黄保全,通讯作者为刘彤教授,合作者有厦门大学黄峰副教授、广西大学林达斌副教授和内华达大学拉斯维加斯分校张冰教授。
文章链接:https://arxiv.org/abs/2009.01416

图1. 不同介质密度,暗物质密度、粒子质量和湮灭通道下伽玛暴余辉的能谱。