





作者:周恩平(北京大学)、周霞(中科院新疆天文台)、李昂(厦大/通讯作者)
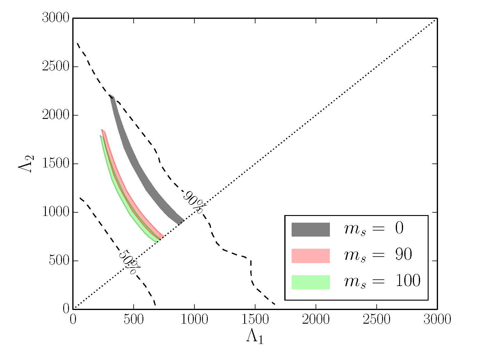
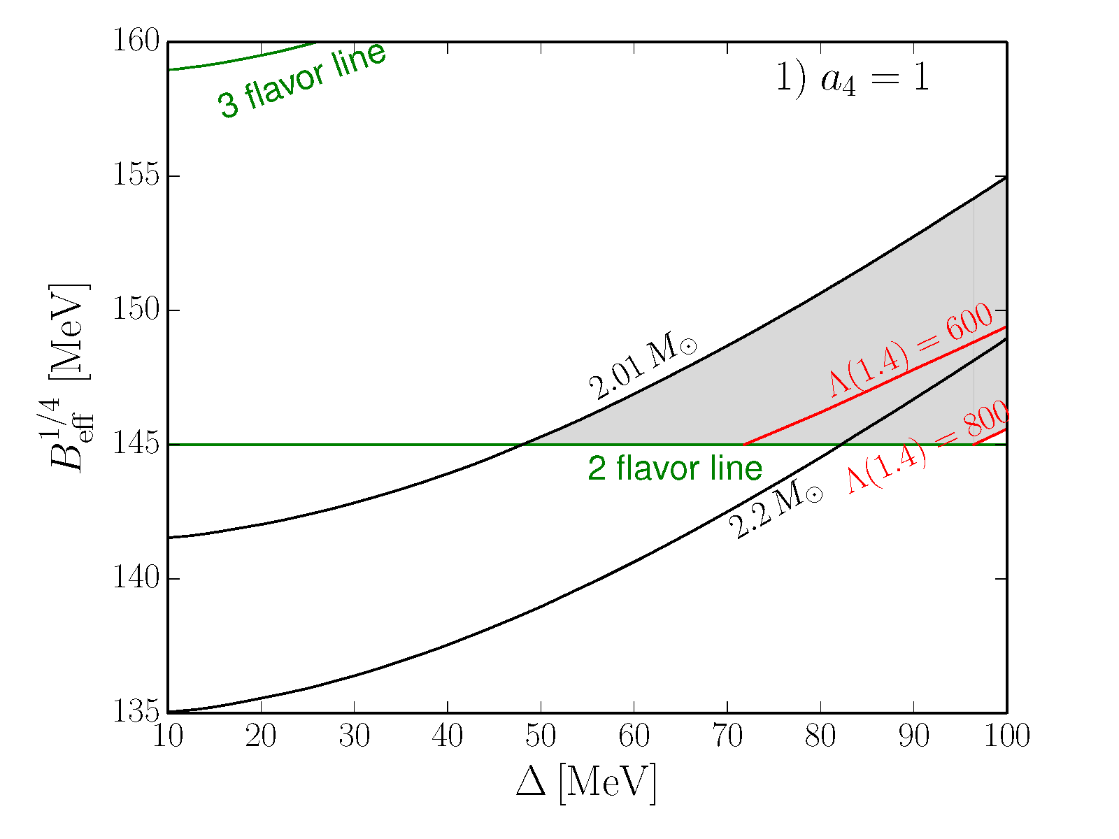
LIGO/VIRGO对GW170817并和致密系统的潮汐形变(tidal deformability)给了一个干净的观测限制。这个限制可以帮助物理学家和天体物理学家解决困扰已久的致密物质状态方程(equation of state, EOS)问题。1)我们提出GW170817可能起源于双夸克星并和的新图像,指出夸克星最大质量不超过2.18倍太阳质量(超流夸克星则为2.32倍太阳质量);2)我们基于GW170817的潮汐观测,结合两倍太阳质量脉冲星的限制和三味(及两味)夸克物质的稳定性条件,给出夸克间相互作用参数的新限制;3)我们发现了夸克星的极限质量和潮汐形变能力存在着很好的幂指数相关性,为将来通过脉冲星和引力波观测进一步限制夸克物质模型提供便利;4)我们的模型还有能力在将来脉冲星和引力波的观测更丰富时,定出脉冲星类天体的种类,即致密星究竟是中子星和/或夸克星的难题。
该论文已被Phys. Rev. D接受发表 1711.04312