喷流进动普遍存在于各种高能天体爆发现象中。伽玛射线暴的偏振测量能够有效地反映喷流磁场的结构。如果伽玛射线暴喷流处于进动模式,那么辐射区结构在余辉阶段极会发生显著变化,进而影响到余辉偏振及其演化行为。
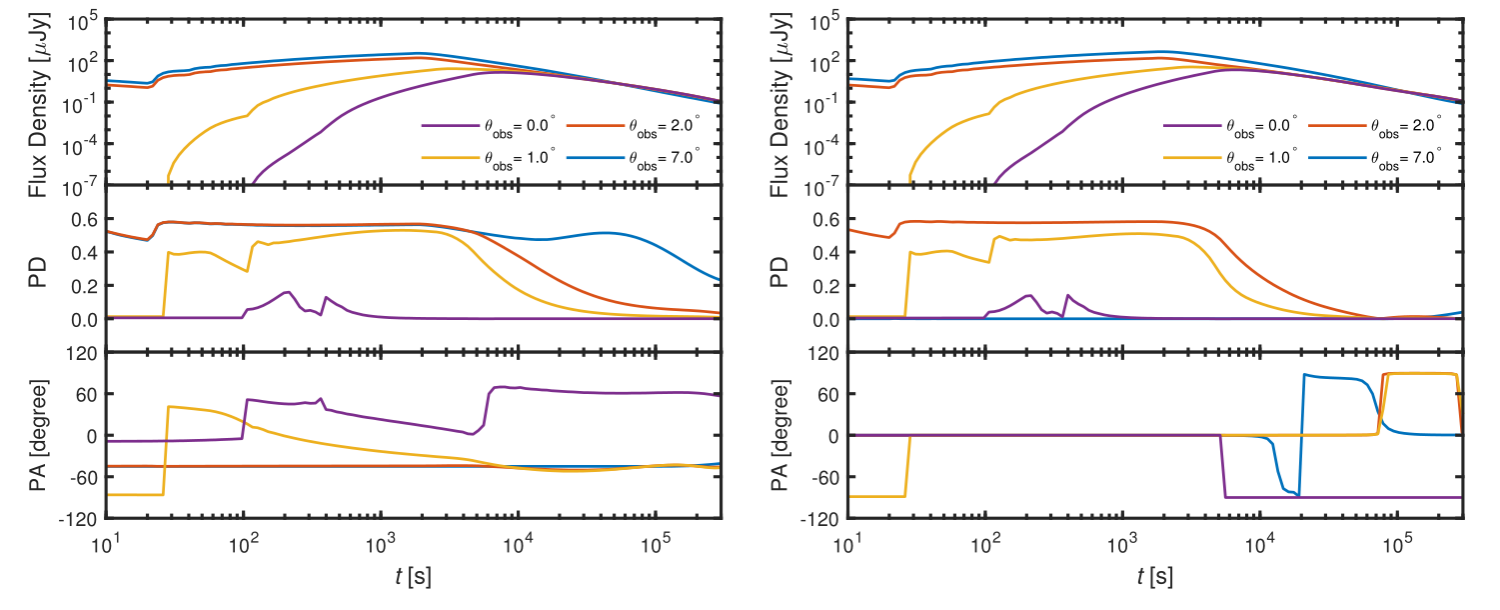
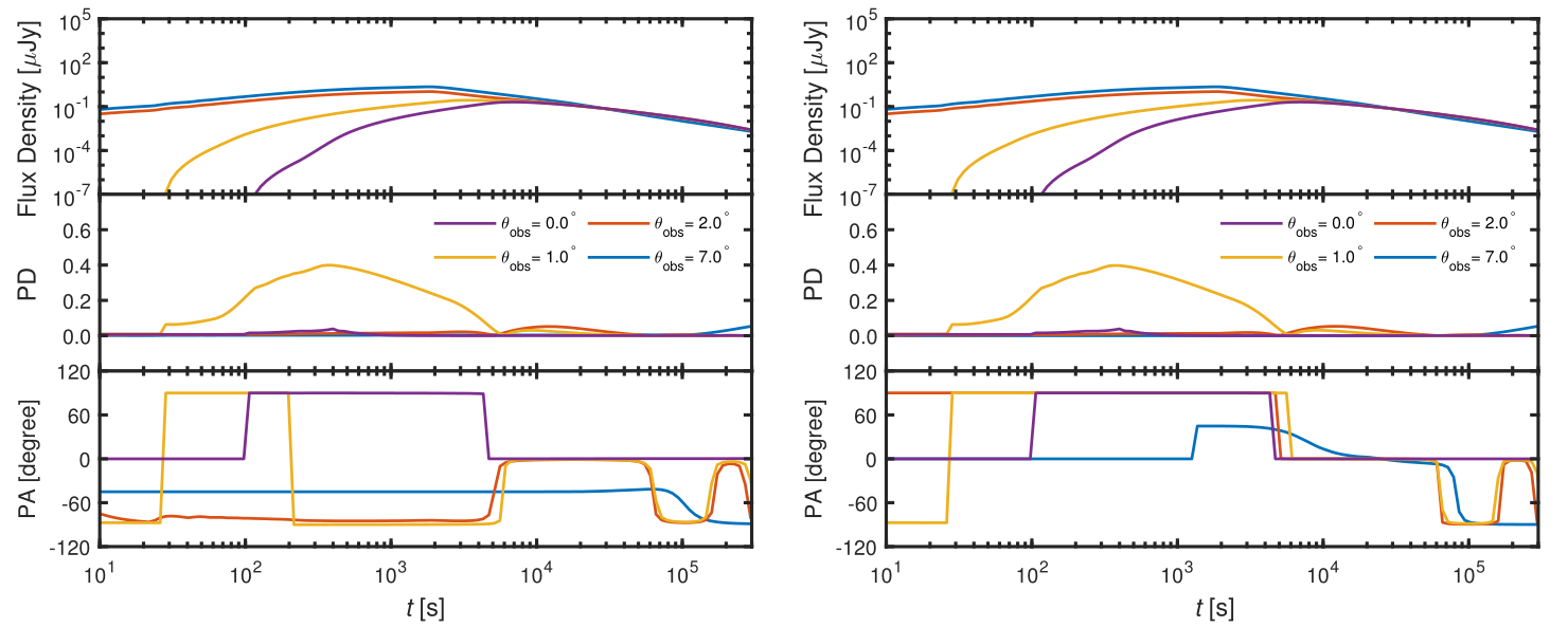
当前,通过观测获取的早期光学余辉偏振度明显低于理论预期。我们研究了喷流进动对伽玛射线暴早期光学余辉偏振的影响。结果表明,进动行为可以有效地降低偏振度(见图1和2),并且当观测角与进动角重合时,消偏振最为明显。可见,喷流进动是观测上早期光学余辉偏振度偏低的可能机制。
该工作已经被ApJ接受发表,第一作者为在读博士生黄保全,通讯作者为刘彤教授。该工作得到了国家自然科学基金和中国空间站巡天望远镜科学研究课题的资助。
论文链接:https://arxiv.org/abs/2205.15468

图1 有序磁场主导下余辉光变、偏振度和偏振角的演化;左、右子图分别考虑了反向激波中存在条形和环形磁场结构。

图2 随机磁场主导下余辉光变、偏振度和偏振角的演化;左、右子图分别考虑了反向激波中存在条形和环形磁场结构。
课题组在伽玛射线暴喷流进动方面已取得一系列研究进展,代表性工作包括:
(1)喷流进动的物理机制
https://www.aanda.org/articles/aa/full_html/2010/08/aa13447-09/aa13447-09.html
(2)喷流进动的引力波辐射
https://iopscience.iop.org/article/10.1088/0004-637X/752/1/31
(3)GRB 130925A中的喷流进动演化
https://iopscience.iop.org/article/10.1088/2041-8205/781/1/L19
(4)GRB 121027A的准周期光变行为
https://academic.oup.com/mnras/article/441/3/2375/1113995
(5)伽玛射线暴X射线余辉或X射线瞬变源中进动喷流驱动的能量注入模型
https://iopscience.iop.org/article/10.3847/1538-4357/ac07a0
(6)伽玛射线暴早期光学余辉中喷流进动的消偏振机制
https://arxiv.org/abs/2205.15468