伽玛射线暴(GRB)是宇宙中最猛烈的爆发事件之一。根据伽玛射线暴持续时间的双峰分布,一般可以分为短暴和长暴。多波段多信使观测显示,长暴一般起源于大质量恒星坍缩,而短暴则起源于双致密星并合,在这两种前身星系统的中心都可能生成黑洞超吸积系统并产生极端相对论性喷流。然而伽玛暴的持续时标并不能准确地反映其物理起源。在坍缩星框架下,只有当产生的喷流成功突破前身星的包层和星周介质后才能产生一个可观测的伽玛射线暴。因此,观测到的伽玛暴的持续时间只能反映出喷流突破包层后中心引擎的活动时标。
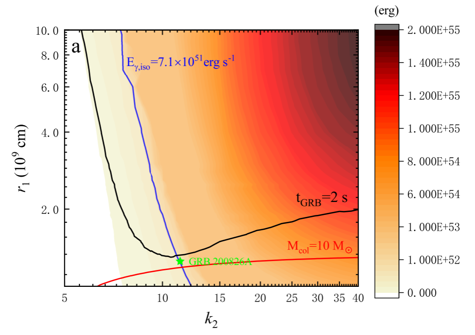
在该工作中,我们分别研究了中微子湮灭机制和Blandford-Znajek (BZ)机制驱动的喷流在大质量坍缩星中的传播情况。我们发现在不同的前身星参数情况下,坍缩星有可能产生长暴、短暴和失败的伽玛暴(喷流未突破包层)。中心黑洞超吸积系统的物质供给和喷流的传播主要由坍缩星的密度轮廓决定,同时,两者在物质和能量分配上存在竞争关系;伽玛暴的持续时标和各向异性瞬时辐射能量可以帮助限制坍缩星的密度轮廓;最后,我们对一个坍缩星起源的短暴GRB 200826A进行分析,限制其前身星属性(见图1)。结果显示,该暴可能起源于一颗剩余质量大约为10倍太阳质量的坍缩星,其大质量包层几乎被完全剥离,其中心引擎的能源机制可能是中微子湮灭机制。
该论文作为“坍缩星中心黑洞超吸积”系列论文之三,近日已被ApJ接受。文章第一作者是韦云锋博士(已毕业),通讯作者为刘彤教授。此工作得到了国家自然科学基金资助。
论文链接:https://arxiv.org/abs/2208.09952

图1 对GRB 200826A的坍缩星密度轮廓的限制。GRB 200826A的位置由绿色五角星标注。
“坍缩星中心黑洞超吸积”系列工作:
(1)MeV中微子辐射 https://iopscience.iop.org/article/10.3847/1538-4357/ab2187
(2)引力波辐射 https://iopscience.iop.org/article/10.3847/1538-4357/ab6325
(3)伽玛射线暴时标 https://arxiv.org/abs/2208.09952