伽玛暴-超新星成协的样本中明亮X射线耀发的发生率低于整体z<1的长暴:能量分配的证据?
摘要:对于红移z<1的长伽玛射线暴,我们比较了明亮X射线耀发在有超新星成协和没有观测到超新星成协的源中的发生率。我们的样本I:z<1的长暴有成协的超新星,并且有Swift/XRT的早期观测,样本中包含18个伽玛暴,其中两个源有明亮的X射线耀发。为了对比,我们的样本II:所有z<1的...
2018-05-21
摘要:对于红移z<1的长伽玛射线暴,我们比较了明亮X射线耀发在有超新星成协和没有观测到超新星成协的源中的发生率。我们的样本I:z<1的长暴有成协的超新星,并且有Swift/XRT的早期观测,样本中包含18个伽玛暴,其中两个源有明亮的X射线耀发。为了对比,我们的样本II:所有z<1的...
2018-05-21
在X射线双星(X-ray binary)的光谱中,存在着一系列的高电离吸收线,比如NeIX, OVII, OVIII。而产生这些吸收线的气体来源仍然存在着疑问。我们通过XMM-Newton的观测数据,生成了一份大样本的OVII观测数据,并分析了产生该吸收线的气体的特性。通过分析产生该吸收线的气体特性...
2018-05-08
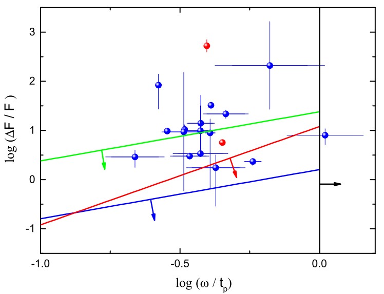
摘要:短伽玛射线暴的起源有两类,即双中子星的并合或黑洞与中子星的并合。我们提出具有中心引擎再活动所产生明亮X射线耀发的短暴可能起源于黑洞-中子星并合,原因是黑洞-中子星并合相比双中子星并合能提供更大质量的吸积盘。基于Swift卫星对49个短暴的后续观测,我们发现有3...
2018-03-30
LIGO/VIRGO对GW170817并和致密系统的潮汐形变(tidal deformability)给了一个干净的观测限制。这个限制可以帮助物理学家和天体物理学家解决困扰已久的致密物质状态方程(equation of state, EOS)问题。1)我们提出GW170817可能起源于双夸克星并和的新图像,指出夸克星最大质...
2018-03-23
近年来,观测到一些与双中子星或黑洞-中子星并合相关的长暴,同时也探测到了一些可能来源于塌缩星的短暴,这些现象挑战了长暴和短暴的传统分类标准。然而,无论长暴还是短暴,在它们的中心都有可能形成一个具有强外流的黑洞超吸积系统,通过BZ机制产生的喷流为伽玛暴供能。在致...
2018-03-23
中子星的半径测量一直以来都是一个难题,但它的测量因为能有效的限制致密物质的状态方程而至关重要。然而最近的研究表明,核子半径与中子星的半径之间或许存在着某些关联性。为了探讨这一问题,我们用夸克层次出发的核物理模型——夸克平均场,研究了中子星的核子半径效应。相...
2018-03-21
摘要: 非均匀盘模型已被提出用来解释黑洞吸积系统的一些性质。然而,观测上证实其存在的证据还有待发现。为了找到可作为吸积盘非均匀性的探针,我们用了ray-tracing这种方法来研究非均匀盘的铁线轮廓。相对于连续的标准薄盘所发射的双峰铁线,当发射指数不是太高时,非均匀盘铁...
2018-02-27
摘要: 致密双星并合后,残留的吸积盘所产生的外流可能对千新星的辐射有重要贡献 (如示意图所示)。本工作通过数值计算来研究吸积流和外流的结构。将有限能量径移的观点应用到超吸积流中,由于径移冷却和辐射冷却之和无法平衡粘滞产热,吸积流中不可避免会产生外流。依据这种思想...
2018-02-09通过对伽玛射线暴(GRB)GRB 170714A的X射线光变(如图所示)的细致研究,发现其不同于其他GRB,可能拥有两个平台和一个鼓包结构。运用磁星模型难于解释两个平台,所以我们提出了夸克星相变、夸克星spin-down以及夸克...
2018-01-30图注:黑洞-白矮星双星的吸积稳定性分析 作者:董一泽、顾为民、刘彤、王俊峰 摘要: 伽玛射线暴(GRB)一般以两秒为界限分为短暴和长暴。一般认为长暴起源于大质量恒星的坍缩,并伴随着超新星爆发;短暴起源于双中...
2018-01-27