厦门大学和法国、加拿大、美国等科研单位合作揭示原行星盘旋臂的主要形成机制
原行星盘(Protoplanetary disk)是围绕在新形成的恒星周围的盘状结构。近年来,高对比度及高分辨率的星冕仪成像研究展示了其中丰富的结构如环、旋臂、空腔等。迄今为止,天文学家已在二十多个系统中观测到了旋臂结构,而已知的几乎所有的旋臂的形成机制仍未明确。现有研究虽已...
2022-10-16
原行星盘(Protoplanetary disk)是围绕在新形成的恒星周围的盘状结构。近年来,高对比度及高分辨率的星冕仪成像研究展示了其中丰富的结构如环、旋臂、空腔等。迄今为止,天文学家已在二十多个系统中观测到了旋臂结构,而已知的几乎所有的旋臂的形成机制仍未明确。现有研究虽已...
2022-10-16
快速射电暴(Fast Radio Burst,简称FRB)是神秘的河外毫秒射电爆发,其产生机制尚不清楚。依据被探测到的爆发次数,快速射电暴可分为重复快速射电暴(观测到两次及以上爆发)和非重复快速射电暴(目前只观测到一次爆发)。对于重复暴,提出的模型包括中子星和白矮星双星系统模...
2022-10-14
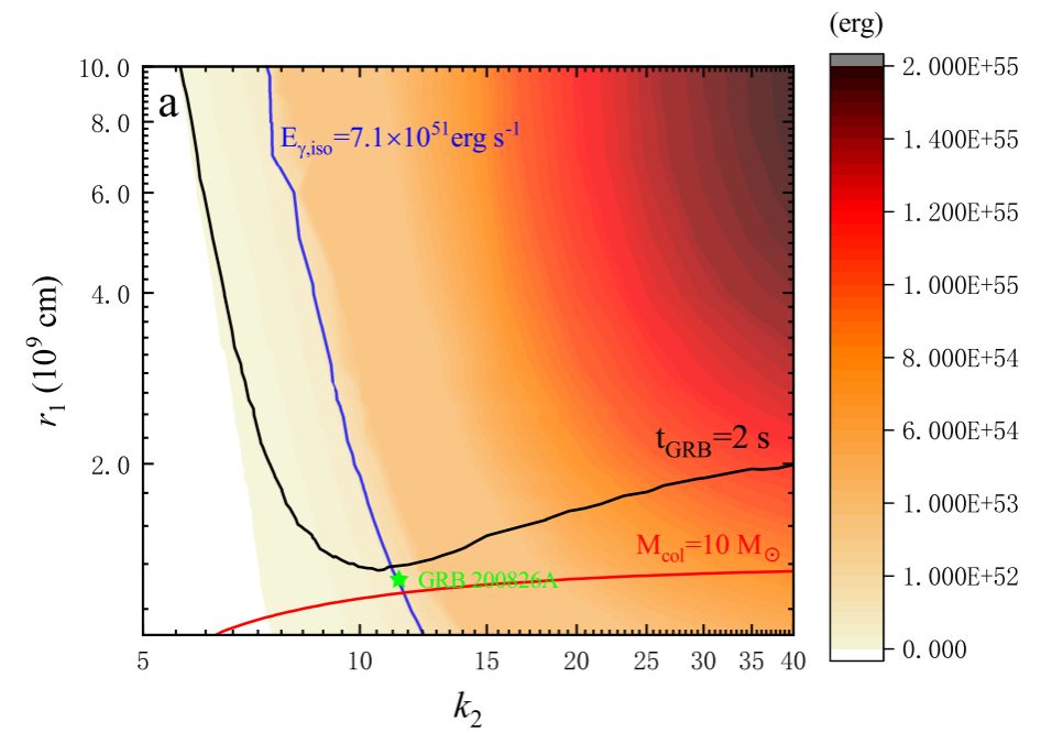
坍缩星模型是解释伽玛暴的标准模型之一。大质量恒星演化末期,其核心坍缩形成超吸积黑洞。该超吸积盘有可能通过正反中微子湮灭机制或者Blandford-Znajek机制产生喷流。如果喷流可以成功突破恒星的包层以及星周介质,那么就有可能在沿着喷流方向观测到伽玛射线暴。刘彤教授课题...
2022-10-12
近日,天文学系顾为民教授团队在中子星搜寻方面取得重要进展,利用我国郭守敬望远镜(LAMOST)积累的海量恒星光谱,发现了一个处于宁静态的中子星候选体与红矮星组成的双星系统。研究成果以“A dynamically discovered and characterised non-accreting neutron star - M dwarf...
2022-09-23
2022年9月17日晚,厦门大学天文台面向翔安校区学生开展了“喜迎二十大,科普向未来”的主题科普活动。说起天文,你会想到什么呢?是人类拍到的第一张黑洞的照片,还是中国探月工程登上月球、勘探月壤?无论你想到什么,能确定的是,人们从未停止探索宇宙的步伐!几千年来,人们...
2022-09-20
相关模拟研究表明,到2030年,基于射电望远镜对双脉冲星系统PSR J0737-3039转动惯量的测量误差有望降至约10%。我们拓展了之前的工作,研究了未来可能的10%精度的转动惯量测量会对中子星的内部结构和微观物理带来什么样的新认识,并提出未来也许能结合脉冲星的半径和转动惯量的...
2022-09-19
极亮X射线暴(ULXB)是指极亮的X射线爆发(峰值光度超过10倍太阳质量天体的爱丁顿光度),通常具有极短的光度上升时标(大约1分钟)和缓慢的光度下降时标(大约1小时)。这类暴通常被发现于河外的球状星团中。大部分极亮X射线暴只观测到了1次爆发,但在NGC 5128中观测到了来自...
2022-08-26
伽玛射线暴(GRB)是宇宙中最猛烈的爆发事件之一。根据伽玛射线暴持续时间的双峰分布,一般可以分为短暴和长暴。多波段多信使观测显示,长暴一般起源于大质量恒星坍缩,而短暴则起源于双致密星并合,在这两种前身星系统的中心都可能生成黑洞超吸积系统并产生极端相对论性喷流。...
2022-08-22
现代天文学与宇宙学的观测表明,暗物质约占宇宙总物质能量的25%,而我们常见的普通重子物质占比只有不到5%。暗物质主导了宇宙大尺度结构的形成与演化,然而暗物质的粒子属性仍有待于观测上的进一步的限制。我们最近在利用中子星观测研究暗物质属性的方向打开一个新的视角。
2022-08-17
密近双星的艺术想象图 (Source: https://www.cronodon.com/SpaceTech/BinaryStar.html)密近双星,或称EW型双星,是一类两颗子星均充满洛希瓣结构且存在物质交换的双星系统;其轨道周期较短(一般小于1天)。对于该类双星,大多数的现有研究都集中于光学波段。X射线辐射亦是该类...
2022-07-24