黑洞中微子主导吸积流的外流核合成对活动星系核化学演化的贡献
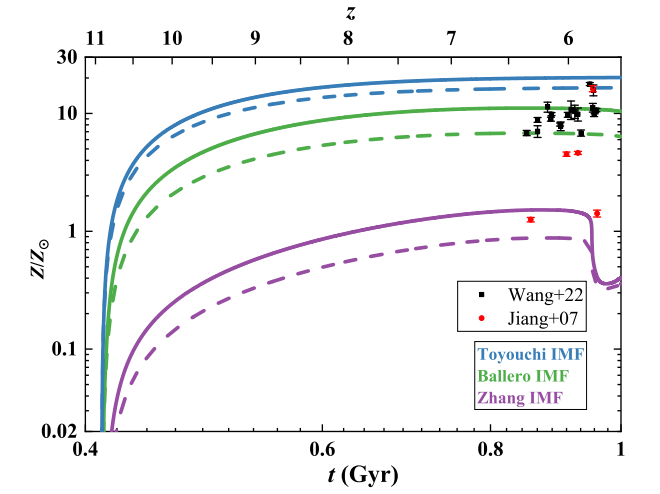
高红移明亮的活动星系核(AGN),即类星体,一般具有高亮度金属发射线,这为研究早期宇宙的化学演化提供了探针。对类星体的观测显示,多数宽线区(BLR)的金属丰度是远超太阳金属丰度且几乎不随红移演化,这表明在宇宙第一个Gyr是快速的恒星形成演化和金属累积的时期。一般认...
2022-06-17
高红移明亮的活动星系核(AGN),即类星体,一般具有高亮度金属发射线,这为研究早期宇宙的化学演化提供了探针。对类星体的观测显示,多数宽线区(BLR)的金属丰度是远超太阳金属丰度且几乎不随红移演化,这表明在宇宙第一个Gyr是快速的恒星形成演化和金属累积的时期。一般认...
2022-06-17
日前,中国博士后科学基金会公布2022年度博士后创新人才支持计划(即博新计划)拟入选名单。厦门大学天文学系博士毕业生朱镇宇(现为上海交通大学·李政道研究所博士后)入选博新计划。博新计划是人力资源和社会保障部、中国博士后管委会设立的一项创新人才支持计划,资助应届或...
2022-06-16
星系并合与星系间相互作用,是星系形成演化中非常重要的过程。目前,有大量的观测证据和数值模拟研究表明,星系在并合的过程中,会增强恒星形成、调节星系中的气体、触发活动星系核(AGN)及星爆。由并合导致的恒星形成增强,需要大量的冷气体作为原料。原子气体(HI)作为星际...
2022-06-15
为提高研究生的学术表达能力,促进同学们之间的学术交流,厦门大学天文学系组织了青年天文学术沙龙活动,沙龙活动主要由厦门大学天文学系青年教师发起并提供支持,活动以每个学期为一个周期,从2019年秋季学期开始,已成功举办5期,参加活动的人员主要是天文系的研究生,同时也...
2022-06-09
喷流进动普遍存在于各种高能天体爆发现象中。伽玛射线暴的偏振测量能够有效地反映喷流磁场的结构。如果伽玛射线暴喷流处于进动模式,那么辐射区结构在余辉阶段极会发生显著变化,进而影响到余辉偏振及其演化行为。当前,通过观测获取的早期光学余辉偏振度明显低于理论预期。我...
2022-06-03
自从人类开始仰望星空,就对浩瀚无际的宇宙充满了好奇。我们的地球位于太阳系,太阳系又位于尺度更大的银河系之中,我们都知道,太阳系的中心是太阳,那么银河系的中心会是怎样的呢?福建省优秀科普基地建设点-厦门大学天文台于2022年5月8日举办了以“探秘银心”为主题的天文沙...
2022-05-09
中微子主导磁耦合吸积盘的相对论全局解 在Kerr黑洞附近存在中微子主导吸积流(NDAF)是伽玛射线暴中心引擎的候选者之一,其吸积的物质可能会继承和重构来自致密天体合并或大质量塌缩星的磁场。一旦形成稳定的强磁场连接高速旋转的黑洞与吸积盘,那么黑洞部分能量和角动量可能将...
2022-04-22
2022年3月31日至4月2日,由清华大学、中科院上海天文台、厦门大学、上海交通大学李政道研究所联合举办,厦门大学天文系承办,福建省天文学会协办的第二届“宇宙热重子探寻计划(HUBS)”科学讨论会成功举行。此次研讨会原计划于2021年10月在厦门大学举办,但受疫情影响,会议在...
2022-04-10
现代宇宙学的主要研究对象之一是宇宙的网络结构(large-scale structure of the Universe)。通过海量观测数据、结构形成理论和计算机数值模拟(simulations)限制宇宙学模型和参数,能够帮助我们理解宇宙的起源、宇宙的演化和各类物理问题。宇宙大尺度结构中包含了大量的宇宙...
2022-04-09
摘要:天文观测与数值模拟均显示外流普遍存在于吸积过程中。我们分析了外流效应对黑洞吸积流的热平衡解的影响,研究工作主要聚焦于外流与径移这两种机制带走粘滞产热的效率的对比。结果显示,除了在吸积流的内区,外流在吸积流的大部分区域带走产热的效率可以超越径移而成为占...
2022-04-09