磁化致密双星的潮汐形变与引力波相演化
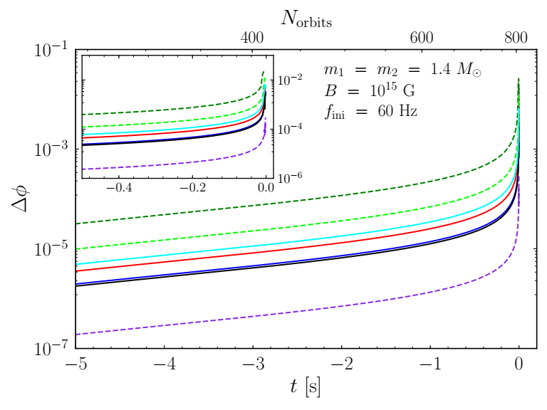
题目:Tidal deformability and gravitational-wave phase evolution of magnetised compact-star binaries作者:Zhenyu Zhu (XMU/ITP, Frankfurt;通讯作者), Ang Li (XMU), L. Rezzolla (ITP, Frankfurt),链接:https://arxiv.org/abs/2005.02677;Phys. Rev. D 102, 084058 ...
2020-10-08












