天文学家利用LAMOST发现迄今最大的恒星级黑洞
北京时间2019年11月28日凌晨,国际科学期刊《自然》发布了中国科学院国家天文台刘继峰、张昊彤研究团队的一项重大发现。依托我国自主研制的国家重大科技基础设施郭守敬望远镜(LAMOST),研究团队发现了一颗迄今为止质量最大的恒星级黑洞,并提供了一种利用LAMOST巡天优势寻...
2019-11-28
北京时间2019年11月28日凌晨,国际科学期刊《自然》发布了中国科学院国家天文台刘继峰、张昊彤研究团队的一项重大发现。依托我国自主研制的国家重大科技基础设施郭守敬望远镜(LAMOST),研究团队发现了一颗迄今为止质量最大的恒星级黑洞,并提供了一种利用LAMOST巡天优势寻...
2019-11-28
2019年11月18日,中国科学院上海天文台台长沈志强一行到访厦门大学,与厦门大学党委副书记赖虹凯签订新一轮的“中国科学院上海天文台-厦门大学天体物理联合中心”(以下简称“上厦中心”)合作协议。上海天文台人教处处长于申、厦门大学物理科学与技术学院院长方陶陶、副院长...
2019-11-26
2019年11月3-6日,“三十米望远镜科学论坛2019”(Thirty Meter Telescope Science Forum 2019)国际会议在厦门大学科学与艺术中心召开。这也是“三十米望远镜科学论坛”系列会议第一次在中国召开。会议海报本次会议由厦门大学物理科学与技术学院和中国科学院国家天文台主办。来...
2019-11-13
2019年上厦天体物理学术研讨会于10月31日-11月3日在厦门大学海韵园校区召开,共有六十余位专家、学者和研究生参加了会议。厦门大学物理科学与技术学院副院长顾为民教授、上厦天体物理中心主任顾敏峰研究员、王俊峰教授参加了会议。会上就天体物理相关问题进行了充分的交流和讨...
2019-11-13
摘要:我们利用Chandra和XMM-Newton等空间X射线望远镜的数据在近邻漩涡星系NGC 6946(距离约7.7 Mpc)中发现了一个极亮X射线暂现源CXOU J203451.1+601043。该源于2008年2月到2012年5月之间变亮,之后其亮度一致维持在2-4E+39 erg/s。该源有两个显著的特点,一是在变亮之后的...
2019-10-16
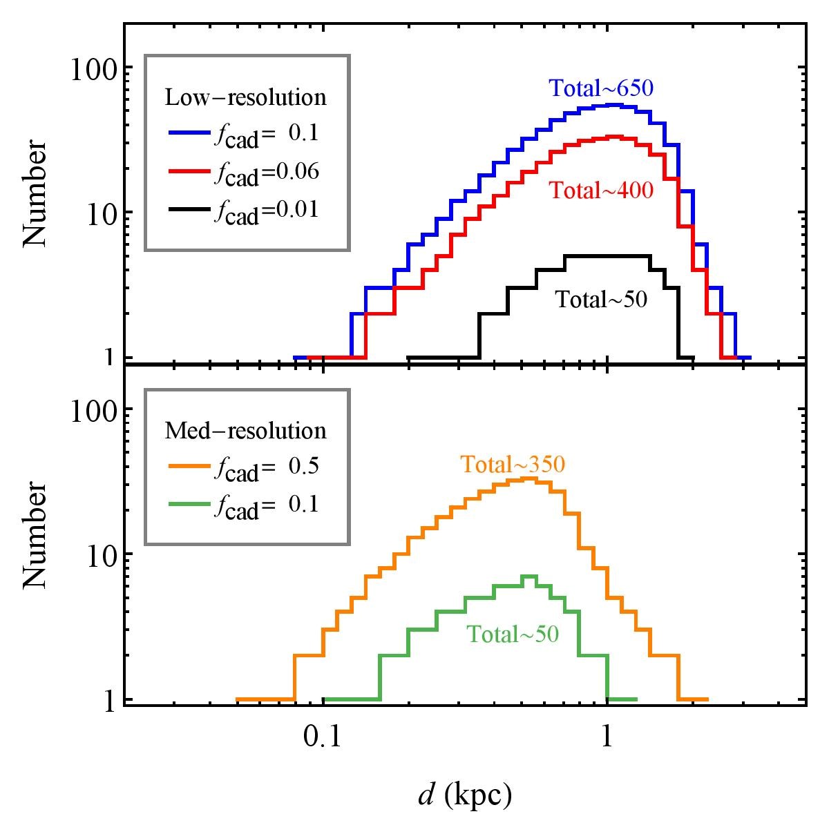
摘要:我们研究了利用LAMOST巡天望远镜(郭守敬望远镜)来寻找由恒星级黑洞和非致密、可见的伴星组成的双星系统(以下简称黑洞双星)。我们模拟了银河系黑洞双星的星族,并通过星族合成模型和双星的轨道参数分布来确定其光学可见度。综合考虑了黑洞双星的可探测性与LAMOST的探...
2019-10-07
摘要:绝大多数动力学上已证认的恒星级黑洞及其候选者都是从X射线爆发来寻找的。在此工作中,我们尝试结合LAMOST望远镜的光谱和ASAS-SN望远镜的测光观测来寻找恒星级黑洞候选者。其中ASAS-SN的周期性光变曲线(例如椭圆调制的光变曲线)可能揭示了轨道周期。我们的样本包含了9...
2019-09-17
摘要:利用钱德拉X射线太空望远镜734千秒的观测数据,我们在球状星团Terzan 5中搜寻到了489个低光度X射线源,这使得Terzan 5成为已探测到X射线源样本仅次于杜鹃47的球状星团。通过研究Terzan 5中X射线源的径向分布,我们发现Terzan 5中X射线源的分布存在与星团杜鹃47相似的分布...
2019-08-21近期,天文学系刘彤教授被美国天文学会和英国皇家物理学会(IOP)出版社联合授予天文与天体物理领域中国高引作者奖(China Top Cited Author Award)。作为国际学术协会,IOP宗旨是促进基础科学的发展及其在全世界的传播,已出版了70多种知名的学术杂志、书籍和会议文集等,...
2019-07-23
围绕在恒星级质量黑洞外的中微子主导的吸积流(NDAF),是伽玛射线暴的中心引擎候选者之一。这样的黑洞超吸积系统有可能在大质量塌缩星的中心形成。在吸积过程起始的几百秒时间内,前身星的物质供给率一般大于NDAF所需要的点火吸积率,即有可能形成NDAFs。尽管中心黑洞吸积触发...
2019-05-13