利用喷流进动模型解释快速射电暴20180916B的周期活跃性
快速射电暴(FRB)是神秘的河外毫秒射电爆发,其产生机制尚不清楚。依据被探测到的爆发次数,快速射电暴可分为重复暴和非重复暴。近期,活跃的重复快速射电暴FRB 20180916B被发现具有16.35天的爆发活跃周期。对该重复暴的周期性有两类解释:一是双星系统的轨道周期,二是致密天...
2021-08-30
快速射电暴(FRB)是神秘的河外毫秒射电爆发,其产生机制尚不清楚。依据被探测到的爆发次数,快速射电暴可分为重复暴和非重复暴。近期,活跃的重复快速射电暴FRB 20180916B被发现具有16.35天的爆发活跃周期。对该重复暴的周期性有两类解释:一是双星系统的轨道周期,二是致密天...
2021-08-30
1984年,Edward Witten提出"夸克物质是物质的基态"(Bodmer-Witten hypothesis),一部分天体物理学家因而相信,宏观大的星体可由夸克物质构成(称为夸克星)。双星合并产生的引力波可以为检验夸克物质理论提供重要信息。近日,厦门大学博士生缪志强(第一作者)、李昂教授(通...
2021-08-05
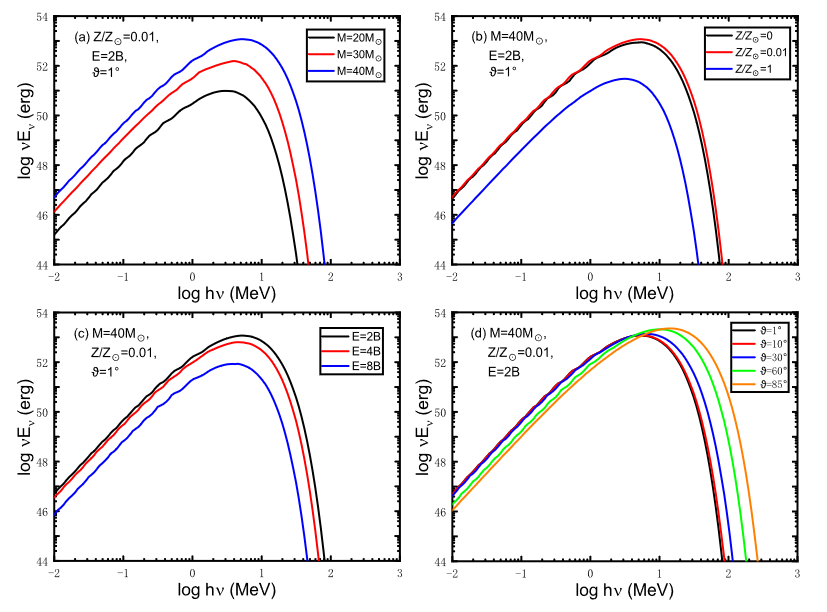
物质回落在核心坍缩超新星爆发过程中扮演着重要的角色。大质量恒星塌缩的最终产物的属性、核合成过程和一些可能的动力学过程都与物质回落有着密切联系。当物质回落较强(亦即爆发能量较弱)时,核心坍缩超新星内部可能会形成黑洞超吸积系统。当吸积率极高时(在初期回落吸积...
2021-07-26
对于量子色动力学(QCD)物质的相图,人们知道核密度(0.16/fm3 或157.065MeV/fm3)附近的自由度是强子,在超高密度是色味锁定相(color-flavor locked,CFL)的夸克物质,但中等密度(数倍于核密度)的相态未知;由于非微扰难题,该密度区间的物态性质也无法直接求解强相互作...
2021-07-14
普遍认为,宇宙中的金属元素(比He重的元素)主要是由超新星和致密天体并合产生的。关于核心坍缩超新星(CCSN)核合成的工作不胜枚举。其核心目的之一就是解释宇宙、紧邻宇宙或太阳附近等不同尺度上的金属元素起源、分布、输运等问题。比如,太阳附近的金属丰度在观测上比理...
2021-07-13
喷流进动普遍存在于不同尺度不同时标的高能天文现象中,这其中就包括伽玛射线暴(简称伽玛暴)。 刘彤教授课题组对伽玛暴喷流进动的物理机制、引力波辐射、解释某些暴的特征光变等方面做了较为系统的研究工作。对于一个长时标的伽玛暴中心引擎来说,进动的喷流将会周期性地把能...
2021-06-04
众多周知,活动星系核(AGN)由超大质量黑洞(SMBH)的吸积盘提供能量。超大质量黑洞吸积盘涉及的空间尺度太小,而这些黑洞离我们的距离又太过遥远,现有的空间和地面望远镜基本上无法直接从空间上分辨超大质量黑洞吸积盘的物理尺度。然而,可以通过时域的方法,基于测量连续谱...
2021-05-20
An artist's rendition of a mystery compact object in 'mass gap' found by LIGO and Virgo gravitational wave detectors. Image credit: LIGO / Caltech / MIT / R. Hurt, IPAC.近期,人们发现了越来越多质量介于中子星和黑洞质量间隙(mass gap)的致密天体。尽管已有许多...
2021-04-05
近日,我系建设的“厦门大学天文台”正式入选“福建省优秀科普教育基地建设”项目。这是厦门大学物理科学与技术学院首个入选该项目的场所。我系将继续拓展优质科普资源,加强天文台的建设与发展,提升天文台的科普教育功能,争取把厦门大学天文台打造成更加完善的科普教育基地
2021-05-17
厦门大学天文系本科生吴巧雅以第一作者在国际物理学权威期刊 Physical Review D 发表题为 “Spin Mode Reconstruction in Lagrangian Space” 的文章。此项研究通过宇宙大尺度结构N体数值模拟研究了宇宙暗物质晕在拉格朗日空间的潮汐和惯性张量、潮汐扭矩、原初角动量以及角动...
2021-03-26